A retrospective real-world single-arm study evaluating the efficacy and safety of neoadjuvant chemotherapy in patients with selected limited-stage small-cell lung cancer
Highlight box
Key findings
• Our retrospective clinical trial aimed to assess the effectiveness and safety of chemotherapy in selected limited-stage small-cell lung cancer (LS-SCLC) in the neoadjuvant context. Findings demonstrated high radiographic and pathological response rates with neoadjuvant chemotherapy, exhibiting a favorable safety profile.
What is known and what is new?
• Thoracic chemoradiotherapy but not surgery has been the standard care for selected LS-SCLC except for T1–2N0M0 staged small-cell lung cancer (SCLC).
• The neoadjuvant chemotherapy demonstrated superior efficacy and acceptable safety in patients with selected LS-SCLC, suggesting a potential shift in the treatment paradigm for LS-SCLC.
What is the implication, and what should change now?
• The real-world data indicated that chemotherapy had promising efficacy for selected LS-SCLC even with staging beyond T1–2N0M0 in the neoadjuvant setting, with high complete pathological response and objective response rate.
• Our results indicated the potential clinical feasibility of neoadjuvant chemotherapy plus surgery for selected localized SCLC. The study’s results may pave the way for future research and clinical trials aimed at optimizing multimodality treatments for LS-SCLC, ultimately improving patient outcomes and survival.
Introduction
Globally, lung cancer continues to be the predominant cause of cancer-related mortality, constituting an estimated 18% of all such deaths (1). Small-cell lung cancer (SCLC), a neuroendocrine tumor characterized by high invasiveness and propensity for metastasis, accounts for approximately 15% of all lung cancer cases (2,3). Based on the Veterans Administration Lung Study Group classification, SCLC is classified into limited and extensive stages, with approximately one-third diagnosed as limited-stage SCLC (LS-SCLC) (4).
Over the past six decades, the treatment for LS-SCLC has been extensively explored in clinical settings, including surgery, radiotherapy, and medical treatments (5). In the 1960s, prospective randomized controlled trials (RCTs) indicated that radiotherapy offered better outcomes than surgery (6). Lad et al. investigated the efficacy of neoadjuvant chemotherapy followed by surgery for LS-SCLC and found that did not extend survival compared to chemoradiotherapy (7). In light of the failures from earlier surgical trials, subsequent research has largely concentrated on the development of novel drugs and improvements in radiotherapy modalities, with surgery-related trials being rare (5). The National Comprehensive Cancer Network (NCCN) guidelines establish concurrent or sequential chemoradiotherapy as the standard of care for LS-SCLC, with surgery being recommended only for patients with T1–2N0M0 staging (8). Nevertheless, the majority of patients experience disease recurrence within 2 years following standard thoracic chemoradiotherapy, with a 5-year survival rate of approximately 30% (9-11). Therefore, more effective alternative treatments are warranted.
Recently, great improvements have been achieved in surgical techniques (12). Thoracoscopic surgery approaches, such as video-assisted thoracoscopic surgery (VATS) and robotic-assisted thoracoscopic surgery (RATS), offer a minimally invasive alternative to traditional open surgery (13). Compared to open thoracotomy, thoracoscopic surgery offers benefits such as reduced postoperative pain, shorter hospital stays, and lower complication rates, while providing comparable oncologic outcomes (14-16). Notably, a growing body of real-world evidence suggests that for selected LS-SCLC, surgery-based treatment modalities may have superior outcomes compared to standard chemoradiotherapy (17-20). Therefore, the feasibility of surgery for the treatment of selected LS-SCLC merits renewed consideration. Furthermore, existing evidence indeed suggests that neoadjuvant therapy can enhance surgical opportunities, increase the rate of radical resection, reduce postoperative recurrence and distant metastasis, and ultimately extend patient survival (21). Therefore, the therapeutic strategy integrating neoadjuvant therapy with surgery is likely to improve clinical outcomes for selected LS-SCLC, and clinical evidence is warranted to ascertain its efficacy and safety.
In this study, we conducted a retrospective, real-world, single-arm trial to evaluate the efficacy and safety of the combined treatment modality of neoadjuvant chemotherapy with surgery for selected LS-SCLC, with the objective of identifying enhanced therapeutic strategies for these patients. We present this article in accordance with the STROBE reporting checklist (available at https://tlcr.amegroups.com/article/view/10.21037/tlcr-2025-209/rc).
Methods
Study design and participants
This clinical trial was conducted as a retrospective, single-center, single-arm study at Shanghai Pulmonary Hospital from December 2015 and December 2022. This retrospective study was conducted in accordance with the Declaration of Helsinki and its subsequent amendments, and was approved by the Research Ethics Committee of Shanghai Pulmonary Hospital (No. K18-203). Informed consent requirements were waived due to the use of anonymized and deidentified data for this retrospective study. Our study aimed to evaluate the efficacy and safety of neoadjuvant chemotherapy combined with surgery in patients diagnosed with potentially resectable LS-SCLC. The inclusion and exclusion criteria for patients are presented in Table S1.
Data collection
We conducted an exhaustive compilation of demographic and clinical information from the medical files of the patients included in the study. Baseline characteristics such as age, sex, smoking history, clinical stage, and histological subtype were meticulously recorded. Clinical staging was established based on pre-neoadjuvant treatment imaging, encompassing positron emission tomography (PET)-computed tomography (CT), CT, brain magnetic resonance imaging (MRI), or endobronchial ultrasound (EBUS) results. Detailed information on the neoadjuvant treatment procedure, including the regimen, treatment cycles, and the time from the last treatment dose to surgery, was also retrieved. In addition, we collected comprehensive surgical data, including the approach and duration, extent of resection, operative time, estimated blood loss, margin status, postoperative complications, and other operative details, as well as information on adjuvant treatments such as chemotherapy regimens and cycles, and the frequency and dosage of radiotherapy. Patients were followed up until October 02, 2024, or until death. The data collection process was conducted by two medical oncologists and reviewed by the chief oncologist to ensure accuracy and reliability. Only data that passed the final quality control checks were included in the analysis.
Clinical outcomes evaluation
The radiologic response was assessed according to the Response Evaluation Criteria in Solid Tumors (RECIST) version 1.1 (22). A partial response (PR) was defined as a reduction of at least 30% in the sum of diameters of all measurable target lesions compared to baseline. Stable disease (SD) was characterized by neither sufficient shrinkage to qualify for PR nor an increase of 20% or more in the sum of diameters of all measurable target lesions from baseline. The overall response rate (ORR) is the proportion of patients with complete response (CR) or PR. Following the International Association for the Study of Lung Cancer’s guidelines for pathological assessment post-neoadjuvant therapy, complete pathological response (CPR), major pathological response (MPR), and non-MPR (N-MPR) were categorized based on the percentage of residual viable tumor cells in the primary tumor and sampled lymph nodes, with thresholds of 0%, ≤10%, and >10%, respectively (23). Event-free survival (EFS) was calculated from the commencement of neoadjuvant therapy until any instance of disease progression, postoperative recurrence, or death from any cause. The metric for overall survival (OS) spanned from the onset of the initial treatment to the time of death due to any cause. Lung cancer was deemed to have achieved complete resection (R0) if it met all the criteria listed in Table S2 (24). Adverse events were assessed by the Common Terminology Criteria for Adverse Events, version 5.0 (25).
Statistical analysis
In our study, all statistical analyses were conducted using R software (version 4.2.2). Categorical variables were reported as frequencies and percentages, while continuous variables were expressed as median with interquartile range (IQR). Survival analyses were performed using the Kaplan-Meier estimator and compared with the log-rank test. The relationship between individual factors and survival was evaluated using univariate Cox regression analysis, and the independence of these factors was assessed with multivariate Cox regression. The impact of various clinicopathological characteristics on pathological response was analyzed using univariate and multivariate logistic regression models. The correlation between radiologic and pathologic remission was determined using Pearson’s correlation coefficient, denoted as Pearson’s r, with a corresponding P value. A two-sided P value of less than 0.05 was considered to indicate statistical significance.
Results
Patient characteristics and neoadjuvant therapy
Between December 2015 and December 2022, a total of 47 patients were enrolled in the study (Table 1). Of these, 40 (85.11%) were male, and 21 (44.68%) had a history of smoking. The cohort consisted of 39 (82.98%) patients with pure SCLC (P-SCLC) and 8 (17.02%) with combined SCLC (C-SCLC). The median age of the patients was 61.00 years, with an IQR of 55.50–67.50 years. Regarding preoperative clinical staging, 6 patients were in stage I, 9 in stage II, and 32 in stage III. All patients received 2–6 cycles of platinum-based combination chemotherapy before surgery, with the majority undergoing a regimen of etoposide plus carboplatin for 2–3 cycles (Table S3). Detailed demographics, including baseline characteristics, clinical staging, and neoadjuvant treatment information for each patient, are presented in Figure 1A. The median interval between the completion of neoadjuvant chemotherapy and subsequent surgery was 33 days (Table S3).
Table 1
| Variables | Data (n=47) |
|---|---|
| Age (years) | 61.00 (55.50, 67.50) |
| Sex | |
| Female | 7 (14.89) |
| Male | 40 (85.11) |
| Smoking | |
| No | 26 (55.32) |
| Yes | 21 (44.68) |
| Histology | |
| C-SCLC | 8 (17.02) |
| P-SCLC | 39 (82.98) |
| Clinical T stage | |
| 1b | 8 (17.02) |
| 1c | 4 (8.51) |
| 2a | 17 (36.17) |
| 2b | 6 (12.77) |
| 3 | 6 (12.77) |
| 4 | 6 (12.77) |
| Clinical N stage | |
| 0 | 10 (21.28) |
| 1 | 9 (19.15) |
| 2 | 28 (59.57) |
| Clinical stage | |
| IA2 | 2 (4.26) |
| IA3 | 1 (2.13) |
| IB | 3 (6.38) |
| IIA | 1 (2.13) |
| IIB | 8 (17.02) |
| IIIA | 26 (55.32) |
| IIIB | 6 (12.77) |
| Adjuvant chemotherapy | |
| No | 7 (14.89) |
| Yes | 40 (85.11) |
| Adjuvant radiotherapy | |
| No | 31 (65.96) |
| Yes | 16 (34.04) |
Data are presented as median (IQR) or n (%). C-SCLC, combined small-cell lung cancer; IQR, interquartile range; N, lymph nodes; P-SCLC, pure small-cell lung cancer; T, tumor.
Surgical information and adjuvant therapy
Comprehensive surgical profiles for each patient, encompassing the surgical approach, extent of resection, postoperative pathological staging, the assessment of high-risk factors in the surgical specimens, and details of adjuvant therapy, including both adjuvant chemotherapy and radiotherapy, are illustrated in Figure 1B. The median time from surgery to the initiation of adjuvant chemotherapy was 38 days (Table S4). The surgical approaches varied, with the majority of procedures performed using VATS in 38 cases (80.85%), followed by thoracotomy in 8 cases (17.02%), and RATS in 1 case (2.13%) (Table S4). The extent of surgical resection was predominantly lobectomy, which was performed in 27 patients (57.45%). Other resection types included bilobectomy in 6 patients (12.77%), sleeve resection in 9 patients (19.15%), and segmentectomy in 2 patients (4.26%) (Table S4). The median surgery time was 2.00 hours (IQR, 1.56–3.00 hours), with a median blood loss of 50.00 mL (IQR, 50.00–115.00 mL). In terms of resection completeness, R0 resection was achieved in 32 patients (68.09%), while the remaining patients had R1 resection. Regarding the assessment of surgical specimens: all margins were negative, nerve infiltration was positive in 2 (4.26%), intravascular cancer embolus in 10 (21.28%), spread through air spaces (STAS) in 8 (17.02%), and vascular invasion in 4 (8.51%) (Table S4). Postoperative adjuvant chemotherapy was administered to 40 patients (85.11%), while postoperative adjuvant radiotherapy was given to 16 patients (34.04%). The specific chemotherapy regimens, cycles, and radiotherapy doses are detailed in Tables S5,S6, respectively. Table S7 provides a summary of the total cycles of neoadjuvant and adjuvant chemotherapy administered.
Outcomes regarding radiologic and pathologic response
Figure 2A,2B depict tumor regression depths on both radiologic and pathologic levels for each patient. Among the 47 patients, 33 (70.21%) achieved PR and 14 (29.79%) had SD as their best response according to the RECIST criteria (Table S8). In terms of pathologic response, 5 patients (10.64%) achieved CPR, and an additional 6 patients (12.77%, excluding those with CPR) achieved MPR (Table S8). Univariate and multivariable logistic regression analyses revealed no significant differences in pathologic remission across subgroups stratified by sex, age, smoking history, clinical stages, or neoadjuvant cycles; however, a trend toward higher MPR rate in smokers was observed (Figure 2C). No significant positive correlation was found between radiologic and pathologic remission (R=0.171, P=0.31) (Figure S1).
Survival outcomes
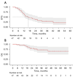
With a median follow-up of 35.367 months [IQR, 26.367 months–not reached (NR)], the median EFS was 16.27 months [95% confidence interval (CI): 12.20–30.53] (Figure 3A). The 1-, 2-, and 3-year EFS rates were 66.64% (95% CI: 54.14–82.02%), 37.44% (95% CI: 25.21–55.60%), and 28.16% (95% CI: 16.85–47.05%), respectively (Figure 3A). As of the data cutoff on October 2, 2024, the median OS had not been reached, with 2-, 3-, and 4-year survival rates of 79.96% (95% CI: 68.36–93.52%), 71.39% (95% CI: 57.12–89.22%), and 64.90% (95% CI: 48.52–86.82%), respectively (Figure 3B).
Subgroup analysis for survival
Pathologic response and adjuvant therapy
Patients were categorized into CPR, MPR (excluding CPR), and N-MPR based on pathologic response. The median EFS was NR for patients with CPR and was 42.23 months (95% CI: 26.10–NR) for those with MPR, both of which were significantly longer than the median EFS of 12.20 months (95% CI: 9.60–19.93, P=0.02) for patients with N-MPR (Figure 4A). A similar trend was also evident in the analysis of OS (Figure S2A). Survival analysis stratified by CPR status revealed that patients with CPR exhibited prolonged EFS and OS compared to those with non-CPR (N-CPR) (Figure 4B and Figure S2B). Additionally, the MPR-based subgroup survival analysis demonstrated a median EFS of 42.23 months (95% CI: 26.10–NR) for patients with MPR (including the CPR), significantly exceeding that of 12.20 months (95% CI: 9.60–19.93) for N-MPR (P=0.008) (Figure 4C). A trend of prolonged OS was also observed in the MPR (Figure S2C).
Stratified survival analyses based on postoperative adjuvant treatment were conducted. There was a trend toward improved EFS (21.00 vs. 12.37 months) and OS in patients who underwent adjuvant radiotherapy compared to those who did not (Figure 4D and Figure S2D). Conversely, the receipt of adjuvant chemotherapy did not significantly extend survival (Figure 4E and Figure S2E). Further analysis was conducted by categorizing patients based on the number of adjuvant cycles and the cumulative cycles of both neoadjuvant and adjuvant chemotherapy. No significant difference in EFS was noted between patients receiving 4–6 cycles of adjuvant therapy and those with fewer cycles (Figure 4F), but a trend toward longer OS was observed with 4–6 cycles (Figure S2F). Patients completing 7–10 total cycles of therapy showed a trend toward improved EFS and OS (Figure S2G,S2H).
Furthermore, we conducted a stratified assessment of the efficacy of adjuvant therapy in patients with MPR and N-MPR. For patients achieving MPR, no significant trends in EFS extension were observed across groups stratified by adjuvant radiotherapy, adjuvant chemotherapy, or the number of adjuvant cycles (Figure 4G-4I). Given that no mortality events have occurred among patients with MPR, a comparison of OS is not feasible (Figure S2I). For patients who did not achieve MPR, adjuvant radiotherapy showed a trend toward longer EFS (17.50 vs. 9.77 months, P=0.08) and OS (NR vs. 30.63 months, P=0.17), but it was not statistically significant (Figure 4J and Figure S2J). Adjuvant chemotherapy significantly prolonged survival (Figure 4K and Figure S2K), with 4–6 cycles of chemotherapy being particularly effective in extending both EFS and OS (Figure 4L and Figure S2L). Patients who received 7–10 cycles of chemotherapy (neoadjuvant cycle plus adjuvant cycle) had longer EFS and OS compared to those who received fewer cycles (Figure S2M,S2N). Subgroup analyses based on the median time from the end of neoadjuvant chemotherapy to surgery and the median time from surgery to the start of adjuvant therapy shown no significant impact on pathological response (Tables S9,S10).
Pathologic stage and adjuvant therapy
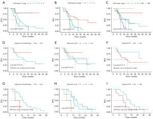
Firstly, we conducted survival analysis based on the pathological T stage, pathological N stage, and comprehensive pathological staging. Patients at the T1 stage demonstrated superior EFS compared to those at the T2 stage (Figure 5A), with their OS curves nearly coinciding (Figure S3A). Patients without lymph node involvement (N0 stage) experienced significantly improved EFS compared to those with lymph node metastasis (N1 and N2 stages) (26.10 vs. 12.20 vs. 13.10 months, P=0.01) (Figure 5B). Regarding OS, both N0 and N1 stages exhibited a notably longer trend compared to the N2 stage (NR vs. NR vs. 44 months) (Figure S3B). The comparison based on comprehensive pathological staging showed that patients at stages 0 (NR), I (19.93 months), and II (25.83 months) had longer EFS than those at stage IIIA (12.37 months), while statistical comparison for stage IIIB was not possible due to having only one patient (Figure 5C). A similar trend was observed in OS (Figure S3C).
Further exploration into the efficacy of postoperative adjuvant therapy in patients with pathologically negative lymph nodes was conducted. The results showed no EFS or OS benefit from adjuvant chemotherapy over no chemotherapy (Figure 5D and Figure S3D), with 4–6 cycles offering similar outcomes to fewer cycles (Figure 5E and Figure S3E). While 7–10 cycles of perioperative chemotherapy showed a trend towards longer EFS compared to 4–6 cycles (Figure S3F), there was no OS difference (Figure S3G). Adjuvant radiotherapy, however, was associated with improved EFS (23.27 months vs. NR) and OS (NR vs. NR) (Figure 5F and Figure S3H).
Ultimately, the prognostic outcomes of patients with pathologically positive lymph nodes were evaluated based on receipt of adjuvant therapy. The result demonstrated a significant extension in EFS among patients who underwent adjuvant chemotherapy (7.52 vs. 13.10 months, P=0.02) (Figure 5G); however, no difference was observed in OS (Figure S3I). Adjuvant chemotherapy of 4–6 cycles was superior to fewer cycles in terms of prolonging both EFS and OS (Figure 5H and Figure S3J). As for the total cycles of chemotherapy administered perioperatively, those ranging from 7 to 10 cycles were identified as optimal for both EFS and OS (Figure S3K,S3L). Compared to patients with N0, those with N+ experienced a more evident prolongation of EFS (10.13 vs. 16.27 months, P=0.18) and OS (17.70 months vs. NR, P=0.12) with the use of adjuvant radiotherapy (Figure 5I and Figure S3M). Both univariate and multivariate Cox regression analyses yielded similar results, yet neither achieved statistical significance (Figure S4A,S4B).
Neoadjuvant cycle
When stratified by the number of neoadjuvant chemotherapy cycles, no significant differences were observed in either EFS (Figure S5A) or OS (Figure S5B). However, a trend toward improved EFS and OS was noted in the group that underwent a greater number of neoadjuvant chemotherapy cycles.
High-risk factors in pathology reports
Analyses were conducted by stratifying patients according to high-risk features including STAS, intravascular cancer embolus, nerve infiltration, vascular invasion, etc. (Figures S6,S7). Patients positive for these factors tended to have shorter survival (Figures S6A-S6D,S7A-S7D), particularly in those with intravascular cancer embolus (median EFS: 17.50 vs. 12.65 months, P=0.047; median OS: NR vs. 30.63 months, P=0.09) (Figures S6B,S7B). Further comparison revealed no significant differences in EFS or OS between inflammation levels (Figures S6E,S7E) or pathological subtypes (Figures S6F,S7F).
Surgery
Among different surgical approaches—RATS, thoracotomy, and VATS—patients exhibited similar EFS and OS (Figure S8A,S8B). R0 resection emerged as a critical prognostic factor, with patients undergoing R0 resection experiencing longer EFS (23.27 vs. 12.37 months, P=0.01) and OS compared to those with R1 resection (Figure S8C,S8D).
Relapse reason
Patients were categorized based on postoperative recurrence patterns into three groups: local recurrence group (L group), distant metastasis group (M group), and combined group (M + L group). The specific sites of distant metastasis and the corresponding number of patients are presented in Table S11. Survival comparison revealed that patients in the M group had a significantly longer survival than those in the L group (12.65 vs. 8.28 months, P<0.001) (Figure S9). The M + L group’s smaller sample size and shorter follow-up period diminished the credibility of the statistical comparison.
Baseline characteristics
Subgroup survival analyses were conducted based on baseline characteristics of median age, sex, and smoking history. No significant difference was identified in EFS and OS between the < median age and the ≥ median age (Figure S10A,S10B). Sex-based survival analysis revealed significant differences in EFS, with the female exhibiting a shorter EFS of 10.43 months (95% CI: 8.43–NR) compared to the male [19.93 months (95% CI: 13.73–NR)] (Figure S10C). However, an opposite trend was observed in terms of OS, potentially due to the immature data (Figure S10D). Unexpectedly, the smoking subgroup analysis revealed that smokers had a significantly longer EFS [smoker vs. non-smoker: 26.10 (95% CI: 17.50–NR) vs. 11.43 months (95% CI: 9.60–25.83), P=0.02] and exhibited a similar trend in OS (Figure S10E,S10F).
Treatment‑related adverse events during neoadjuvant treatment
Treatment-related adverse events are summarized in Table S12. Grade 3 and 4 adverse events that occurred during neoadjuvant treatment were noted in 8 patients (17.02%) and 2 patients (4.26%), respectively. Treatment-related adverse events of grade 3–4 with the most frequent occurrences being a decrease in neutrophil count (12.77%), followed by a decrease in platelet count (8.51%), and a decrease in white blood cell count (4.26%). Regarding surgery-related adverse events, no grade 2 or higher events were observed. The most common event was a grade 1 lung infection. Additionally, one patient experienced grade 1 pulmonary embolism. There were no cases of perioperative death or postoperative pneumothorax.
Discussion
In this single-arm retrospective clinical study, we included 47 patients with LS-SCLC who underwent surgery following neoadjuvant chemotherapy and systematically evaluated the efficacy and safety of this regimen. Compared to previous data from trials of thoracic chemoradiotherapy, this regimen appears to offer patients a longer survival period. We speculate that the treatment strategy of neoadjuvant chemotherapy combined with surgery could be a more effective option for potentially resectable LS-SCLC, warranting exploration in large-sample, prospective clinical trials.
Concurrent thoracic chemoradiotherapy is the current standard of care for LS-SCLC, with surgery not considered except for T1–2N0M0 staging (5). Nevertheless, the role of surgery in the SCLC remains a contentious issue. Two large, prospective, randomized, controlled trials conducted by the British Medical Research Council in the 1960s and 1970s found that surgery, either alone or following neoadjuvant chemotherapy, did not confer a survival advantage over chemoradiotherapy for LS-SCLC (6,26); thereby, establishing chemoradiotherapy as the standard treatment strategy for LS-SCLC. Subsequently, there has been a scarcity of prospective clinical studies focusing on surgical intervention for SCLC, with the focus shifting towards systemic therapies and radiotherapy approaches (27). Notably, in real-world settings, some patients with LS-SCLC still undergo surgical treatment. A retrospective comparison by Takenaka et al. of 88 surgically treated and 189 non-surgically treated SCLC patients revealed a significantly higher 5-year survival rate in the surgery group (28). Similar conclusions have been echoed in other recent retrospective studies (18,29,30). Compared with surgery alone, neoadjuvant therapy combined with surgery is a more effective therapeutic strategy to increase the R0 resection rate and reduce the postoperative recurrence or metastasis rate (31). Considering the highly aggressive and metastatic properties of SCLC, preoperative neoadjuvant therapy could be even more essential (32). Currently, there are fewer studies on neoadjuvant therapy combined with surgery for SCLC, with most being case reports (33-35). In our retrospective study, 47 SCLC patients who underwent surgery following neoadjuvant chemotherapy were included. As of the cutoff date, the median EFS was 16.27 months, and the median OS had not been reached, with a 2-year survival rate of 79.96%. The ADRIATIC study has demonstrated that the treatment strategy of “chemoradiotherapy followed by durvalumab maintenance” significantly enhances survival outcomes in LS-SCLC (36). Specifically, this approach achieved a 2-year OS rate of 68%, which is a substantial improvement over traditional chemoradiotherapy (36). While our study reported a 2-year survival rate of 79.96%, which appears higher than that observed in the ADRIATIC study, we acknowledge that differences in patient characteristics limit the direct comparability of these results. We speculate that for LS-SCLC patients with potentially resectable tumors, neoadjuvant chemotherapy followed by surgery may be a preferred treatment option. However, for patients with more advanced disease (e.g., N3 involvement) where surgery is not feasible, chemoradiotherapy followed by durvalumab maintenance, as demonstrated in the ADRIATIC study, may be a more optimal approach. There have been several trials exploring the combination of neoadjuvant chemotherapy and immunotherapy in resectable LS-SCLC. For instance, Duan et al. reported an MPR rate of 92.3% in 13 patients treated with this combination, which is significantly higher than the 23.4% observed in our study (37). This suggests the feasibility of neoadjuvant combined surgery strategies for LS-SCLC, particularly the combination of neoadjuvant chemotherapy and immunotherapy. Our study provides a rationale for the design and conduct of prospective clinical trials on neoadjuvant therapy plus surgery in SCLC, which could potentially advance the optimization of treatment strategies for LS-SCLC.
Pathologic response is recognized as a crucial indicator for evaluating the effectiveness of neoadjuvant treatments (38). NSCLC patients who achieve an MPR or a CPR have improved survival outcomes (39). Our investigation aligns with these findings, observing that SCLC achieving MPR or CPR experienced more favorable survival durations compared to those who did not. In the context of NSCLC, consensus guidelines recommend 4 to 6 cycles of neoadjuvant and adjuvant chemotherapy, with adjuvant radiotherapy generally not administered due to evidence suggesting it does not enhance survival outcomes (40). Given the distinct aggressiveness, invasiveness, and metastatic potential of SCLC in contrast to NSCLC, the perioperative treatment model may differ from that of NSCLC. Current protocols advocate for four cycles of postoperative adjuvant chemotherapy for incidentally resected SCLC, with the inclusion of adjuvant radiotherapy for cases with lymph node involvement (41). However, there is a lack of evidence on how to optimize treatment in the context of neoadjuvant therapy followed by surgery for SCLC. Our study delved into the effects of various adjuvant treatment modalities on the prognosis of patients with different characteristics. It was revealed that neither adjuvant chemotherapy nor radiotherapy improved outcomes for patients with MPR, but they did prolong survival for those with N-MPR, and a total of 7–10 cycles of preoperative and postoperative chemotherapy were superior to a lower number of cycles. Intriguingly, analysis based on lymph node involvement demonstrated that survival was extended in patients receiving adjuvant radiotherapy or chemotherapy, irrespective of lymph node status. Therefore, for SCLC, it is hypothesized that the degree of pathologic remission is a pivotal determinant in the decision-making process for postoperative adjuvant therapies, with both adjuvant chemotherapy and radiotherapy being essential for patients with N-MPR, irrespective of lymph node status. Furthermore, different from the four-cycle chemotherapy protocol for NSCLC, SCLC might necessitate an extended chemotherapy regimen.
Local recurrence and distant metastasis are the main factors affecting the prognosis of SCLC after surgery. In our study, we observed that the L group had a poorer prognosis compared to the M group. This finding is somewhat counterintuitive, as distant metastasis is generally considered to have a worse prognosis than local recurrence. Of note, our data suggest that the majority of distant metastases in our cohort were oligometastatic. Oligometastatic lesions, particularly those confined to specific sites such as the brain, bone, or liver, are often associated with a more favorable prognosis compared to widespread metastatic disease (42). Therefore, we speculate that the relatively better prognosis observed in the M group may primarily be due to the fact that the distant metastases were predominantly oligometastatic lesions. Additionally, the sample size in our study is relatively small, and further validation in larger cohorts is needed. Various factors, including STAS, intravascular cancer embolus, nerve infiltration, and vascular invasion, are considered high-risk pathological factors for postoperative recurrence and metastasis (43,44). Our study’s findings are in alignment, demonstrating a reduction in survival for patients with positive results for any of these factors. Furthermore, an R0 resection, which signifies the complete removal of the tumor without residual disease, is a critical benchmark in surgical oncology. In lung cancer surgery, an R0 resection is specifically defined by the extent of lymph node dissection, the number of lymph nodes removed, and the status of surgical margins (24). Our research revealed that individuals with R0 resection experienced superior EFS and OS compared to those without, further highlighting the importance of aiming for R0 resection in lung cancer treatment.
Recent studies have noted an increasing incidence of SCLC among female non-smokers, potentially reflecting a unique pathogenesis and divergent responses to treatment and survival outcomes (45,46). Our research did reveal a disparity in prognosis between female and male patients, with females experiencing a reduced EFS compared to males. The OS was paradoxical, a discrepancy that may stem from immature data. Moreover, smoking patients tend to have better survival outcomes compared to non-smoking patients, which requires further investigation.
In summary, this retrospective clinical study has put forth that the combination of neoadjuvant chemotherapy with surgery may represent a more effective and safe treatment strategy for selected LS-SCLC, deserving of further validation through prospective clinical trials. In addition, we systematically explored the potential influencing factors for the efficacy of the treatment modality, particularly delving into the significance of adjuvant therapy in different pathological response statuses and lymph node involvement states, thereby laying the foundation for the design of more standardized and potent treatment models in subsequent clinical trials. However, there are still some limitations. First, this study is a retrospective, single-arm analysis that compared outcomes with historical data, lacking a control group, necessitating head-to-head efficacy comparisons in prospective, RCTs. Second, our study is limited by the small sample size, which may affect the generalizability of our findings. Future studies with larger cohorts are needed; Third, the OS data in this study are still immature, necessitating further follow-up to ascertain the treatment regimen’s efficacy.
Conclusions
Neoadjuvant chemotherapy combined with surgery may represent a potential treatment strategy for potentially resectable LS-SCLC, with a high proportion of patients achieving an MPR and manageable safety profile that did not compromise surgical resection. Further prospective clinical trials are warranted to delineate the benefits of neoadjuvant chemotherapy and optimize LS-SCLC treatment.
Acknowledgments
None.
Footnote
Reporting Checklist: The authors have completed the STROBE reporting checklist. Available at https://tlcr.amegroups.com/article/view/10.21037/tlcr-2025-209/rc
Data Sharing Statement: Available at https://tlcr.amegroups.com/article/view/10.21037/tlcr-2025-209/dss
Peer Review File: Available at https://tlcr.amegroups.com/article/view/10.21037/tlcr-2025-209/prf
Funding: This study was supported in part by a grant of
Conflicts of Interest: All authors have completed the ICMJE uniform disclosure form (available at https://tlcr.amegroups.com/article/view/10.21037/tlcr-2025-209/coif). The authors have no conflicts of interest to declare.
Ethical Statement: The authors are accountable for all aspects of the work in ensuring that questions related to the accuracy or integrity of any part of the work are appropriately investigated and resolved. This study was conducted in accordance with the Declaration of Helsinki and its subsequent amendments and was approved by the Research Ethics Committee of Shanghai Pulmonary Hospital (No. K18-203), with informed consent requirements waived due to the use of anonymized and deidentified data for this retrospective study.
Open Access Statement: This is an Open Access article distributed in accordance with the Creative Commons Attribution-NonCommercial-NoDerivs 4.0 International License (CC BY-NC-ND 4.0), which permits the non-commercial replication and distribution of the article with the strict proviso that no changes or edits are made and the original work is properly cited (including links to both the formal publication through the relevant DOI and the license). See: https://creativecommons.org/licenses/by-nc-nd/4.0/.
References
- Sung H, Ferlay J, Siegel RL, et al. Global Cancer Statistics 2020: GLOBOCAN Estimates of Incidence and Mortality Worldwide for 36 Cancers in 185 Countries. CA Cancer J Clin 2021;71:209-49. [Crossref] [PubMed]
- Xu K, Wang H, Li S, et al. Changing profile of lung cancer clinical characteristics in China: Over 8-year population-based study. Chin Med J Pulm Crit Care Med 2023;1:188-94. [Crossref] [PubMed]
- García-Campelo R, Sullivan I, Arriola E, et al. SEOM-GECP Clinical guidelines for diagnosis, treatment and follow-up of small-cell lung cancer (SCLC) (2022). Clin Transl Oncol 2023;25:2679-91. [Crossref] [PubMed]
- Davis S, Stanley KE, Yesner R, et al. Small-cell carcinoma of the lung--survival according to histologic subtype: a Veterans Administration Lung Group Study. Cancer 1981;47:1863-6. [Crossref] [PubMed]
- Rudin CM, Brambilla E, Faivre-Finn C, et al. Small-cell lung cancer. Nat Rev Dis Primers 2021;7:3. [Crossref] [PubMed]
- Miller AB, Fox W, Tall R. Five-year follow-up of the Medical Research Council comparative trial of surgery and radiotherapy for the primary treatment of small-celled or oat-celled carcinoma of the bronchus. Lancet 1969;2:501-5. [Crossref] [PubMed]
- Lad T, Piantadosi S, Thomas P, et al. A prospective randomized trial to determine the benefit of surgical resection of residual disease following response of small cell lung cancer to combination chemotherapy. Chest 1994;106:320S-3S. [Crossref] [PubMed]
- Megyesfalvi Z, Gay CM, Popper H, et al. Clinical insights into small cell lung cancer: Tumor heterogeneity, diagnosis, therapy, and future directions. CA Cancer J Clin 2023;73:620-52. [Crossref] [PubMed]
- Bogart J, Wang X, Masters G, et al. High-Dose Once-Daily Thoracic Radiotherapy in Limited-Stage Small-Cell Lung Cancer: CALGB 30610 (Alliance)/RTOG 0538. J Clin Oncol 2023;41:2394-402. [Crossref] [PubMed]
- Faivre-Finn C, Snee M, Ashcroft L, et al. Concurrent once-daily versus twice-daily chemoradiotherapy in patients with limited-stage small-cell lung cancer (CONVERT): an open-label, phase 3, randomised, superiority trial. Lancet Oncol 2017;18:1116-25. [Crossref] [PubMed]
- Walls GM, Mistry H, Barlesi F, et al. Long-Term Outcomes After Concurrent Once- or Twice-Daily Chemoradiation in Limited-Stage Small Cell Lung Cancer: A Brief Report From the CONVERT Trial. Int J Radiat Oncol Biol Phys 2024;119:1386-90. [Crossref] [PubMed]
- Khan JA, Albalkhi I, Garatli S, et al. Recent Advancements in Minimally Invasive Surgery for Early Stage Non-Small Cell Lung Cancer: A Narrative Review. J Clin Med 2024;13:3354. [Crossref] [PubMed]
- Pan JM, Watkins AA, Stock CT, et al. The Surgical Renaissance: Advancements in Video-Assisted Thoracoscopic Surgery and Robotic-Assisted Thoracic Surgery and Their Impact on Patient Outcomes. Cancers (Basel) 2024;16:3086. [Crossref] [PubMed]
- Niu Z, Cao Y, Du M, et al. Robotic-assisted versus video-assisted lobectomy for resectable non-small-cell lung cancer: the RVlob randomized controlled trial. EClinicalMedicine 2024;74:102707. [Crossref] [PubMed]
- Rodriguez-Quintero JH, Elbahrawy MM, Montal AM, et al. Minimally invasive surgery for clinical T4 non-small-cell lung cancer: national trends and outcomes. Eur J Cardiothorac Surg 2024;65:ezae009. [Crossref] [PubMed]
- Bouabdallah I, Pauly V, Viprey M, et al. Unplanned readmission and survival after video-assisted thoracic surgery and open thoracotomy in patients with non-small-cell lung cancer: a 12-month nationwide cohort study. Eur J Cardiothorac Surg 2021;59:987-95. [Crossref] [PubMed]
- Zhong L, Suo J, Wang Y, et al. Prognosis of limited-stage small cell lung cancer with comprehensive treatment including radical resection. World J Surg Oncol 2020;18:27. [Crossref] [PubMed]
- Bian D, Jiang S, Xiong Y, et al. Efficacy evaluation of surgery combined with chemotherapy for stage IIIA small cell lung cancer patients: a retrospective analysis. Transl Lung Cancer Res 2022;11:1631-42. [Crossref] [PubMed]
- West HJ. Moving Beyond Limited and Extensive Staging of Small Cell Lung Cancer. JAMA Oncol 2019;5:e185187. [Crossref] [PubMed]
- Lin JP, Chen XF, Wang P, et al. Conditional Survival of Patients with Limited-Stage Small Cell Lung Cancer After Surgery: A National Real-World Cohort Study. Ann Surg Oncol 2024;31:4250-60. [Crossref] [PubMed]
- Garassino MC, Torri V. Neoadjuvant or Perioperative Approach in Lung Cancer. N Engl J Med 2024;390:1816-8.
- Eisenhauer EA, Therasse P, Bogaerts J, et al. New response evaluation criteria in solid tumours: revised RECIST guideline (version 1.1). Eur J Cancer 2009;45:228-47. [Crossref] [PubMed]
- Travis WD, Dacic S, Wistuba I, et al. IASLC Multidisciplinary Recommendations for Pathologic Assessment of Lung Cancer Resection Specimens After Neoadjuvant Therapy. J Thorac Oncol 2020;15:709-40. [Crossref] [PubMed]
- Rami-Porta R, Wittekind C, Goldstraw P, et al. Complete resection in lung cancer surgery: proposed definition. Lung Cancer 2005;49:25-33. [Crossref] [PubMed]
- Freites-Martinez A, Santana N, Arias-Santiago S, et al. Using the Common Terminology Criteria for Adverse Events (CTCAE - Version 5.0) to Evaluate the Severity of Adverse Events of Anticancer Therapies. Actas Dermosifiliogr (Engl Ed) 2021;112:90-2. [Crossref] [PubMed]
- Fox W, Scadding JG. Medical Research Council comparative trial of surgery and radiotherapy for primary treatment of small-celled or oat-celled carcinoma of bronchus. Ten-year follow-up. Lancet 1973;2:63-5. [Crossref] [PubMed]
- Yu J, Jiang L, Zhao L, et al. High-dose hyperfractionated simultaneous integrated boost radiotherapy versus standard-dose radiotherapy for limited-stage small-cell lung cancer in China: a multicentre, open-label, randomised, phase 3 trial. Lancet Respir Med 2024;12:799-809. [Crossref] [PubMed]
- Takenaka T, Takenoyama M, Inamasu E, et al. Role of surgical resection for patients with limited disease-small cell lung cancer. Lung Cancer 2015;88:52-6. [Crossref] [PubMed]
- Fujimori K, Yokoyama A, Kurita Y, et al. A pilot phase 2 study of surgical treatment after induction chemotherapy for resectable stage I to IIIA small cell lung cancer. Chest 1997;111:1089-93. [Crossref] [PubMed]
- Liu T, Chen Z, Dang J, et al. The role of surgery in stage I to III small cell lung cancer: A systematic review and meta-analysis. PLoS One 2018;13:e0210001. [Crossref] [PubMed]
- Detterbeck FC, Socinski MA, Gralla RJ, et al. Neoadjuvant chemotherapy with gemcitabine-containing regimens in patients with early-stage non-small cell lung cancer. J Thorac Oncol 2008;3:37-45. [Crossref] [PubMed]
- Gazdar AF, Bunn PA, Minna JD. Small-cell lung cancer: what we know, what we need to know and the path forward Nat Rev Cancer 2017;17:725-37. [published correction appears in Nat Rev Cancer 2017 Nov 10;17(12):765.]. [Crossref] [PubMed]
- Zhou N, Chen Y, Huang Q, et al. Pathological complete response to neoadjuvant tislelizumab plus chemotherapy in stage IIIB small cell lung cancer: A case report and literature review. Front Immunol 2023;14:1111325. [Crossref] [PubMed]
- Mei T, Wang T, Lei C, et al. Pathological complete response to neoadjuvant therapy with serplulimab and chemotherapy in stage IIIB small cell lung cancer: a case report and literature review. Front Immunol 2023;14:1272450. [Crossref] [PubMed]
- Lu M, Zhang R, Qi LS, et al. Pathologic responses to neoadjuvant chemoimmunotherapy in primary limited-stage small-cell lung cancer. Thorac Cancer 2022;13:3208-16. [Crossref] [PubMed]
- Cheng Y, Spigel DR, Cho BC, et al. Durvalumab after Chemoradiotherapy in Limited-Stage Small-Cell Lung Cancer. N Engl J Med 2024;391:1313-27. [Crossref] [PubMed]
- Duan H, Shi L, Shao C, et al. A multicenter, single-arm, open study of neoadjuvant or conversion atezolizumab in combination with chemotherapy in resectable small cell lung cancer (Cohort Study). Int J Surg 2023;109:2641-9. [Crossref] [PubMed]
- Deutsch JS, Cimino-Mathews A, Thompson E, et al. Association between pathologic response and survival after neoadjuvant therapy in lung cancer. Nat Med 2024;30:218-28. [Crossref] [PubMed]
- Chen Y, Qin J, Wu Y, et al. Does major pathological response after neoadjuvant Immunotherapy in resectable nonsmall-cell lung cancers predict prognosis? A systematic review and meta-analysis. Int J Surg 2023;109:2794-807. [Crossref] [PubMed]
- Spicer JD, Cascone T, Wynes MW, et al. Neoadjuvant and Adjuvant Treatments for Early Stage Resectable NSCLC: Consensus Recommendations From the International Association for the Study of Lung Cancer. J Thorac Oncol 2024;19:1373-414. [Crossref] [PubMed]
- Park SY, Park S, Lee GD, et al. The Role of Adjuvant Therapy Following Surgical Resection of Small Cell Lung Cancer: A Multi-Center Study. Cancer Res Treat 2023;55:94-102. [Crossref] [PubMed]
- Couñago F, Luna J, Guerrero LL, et al. Management of oligometastatic non-small cell lung cancer patients: Current controversies and future directions. World J Clin Oncol 2019;10:318-39. [Crossref] [PubMed]
- Han YB, Kim H, Mino-Kenudson M, et al. Tumor spread through air spaces (STAS): prognostic significance of grading in non-small cell lung cancer. Mod Pathol 2021;34:549-61. [Crossref] [PubMed]
- Shimada Y, Saji H, Yoshida K, et al. Pathological vascular invasion and tumor differentiation predict cancer recurrence in stage IA non-small-cell lung cancer after complete surgical resection. J Thorac Oncol 2012;7:1263-70. [Crossref] [PubMed]
- LoPiccolo J, Gusev A, Christiani DC, et al. Lung cancer in patients who have never smoked - an emerging disease. Nat Rev Clin Oncol 2024;21:121-46. [Crossref] [PubMed]
- Moffat GT, Wang T, Robinson AG. Small Cell Lung Cancer in Light/Never Smokers - A Role for Molecular Testing? J Natl Compr Canc Netw 2023;21:336-9. [Crossref] [PubMed]

