Prognostic impacts of skip metastasis in N2a and N2b subgroups of non-small cell lung cancer: insights from a large cohort
Highlight box
Key findings
• Skip metastasis, defined as N2 lymph node involvement without N1 metastasis, was identified in 34.1% of pN2 cases, with a higher incidence in pN2a (41.3%) than pN2b (24.3%).
• Skip metastasis conferred significantly better 5-year overall survival (OS) and disease-free survival (DFS) compared to non-skip metastasis in both pN2a and pN2b subgroups.
What is known and what is new?
• Skip metastasis has been associated with improved survival in N2 non-small cell lung cancer (NSCLC), but its prognostic role in the recently revised N2a (single-station) and N2b (multi-station) subcategories remains unclear.
• This study, based on a large cohort, demonstrates that skip metastasis is an independent prognostic factor in both pN2a and pN2b subgroups. It also highlights the comparable survival between skip pN2a and pN1, as well as non-skip pN2a and skip pN2b, suggesting potential revisions to the Tumor, Node, Metastasis (TNM) staging system.
What is the implication, and what should change now?
• The findings support incorporating skip metastasis into future TNM staging revisions to enhance prognostic accuracy and guide personalized treatment strategies. Adequate retrieval of N1 lymph nodes during surgery is crucial to ensure accurate nodal staging.
Introduction
In recent years, lung cancer has remained a significant threat to human health worldwide, with its rising incidence and mortality (1). The 5-year survival rate for lung cancer patients declines markedly, from approximately 82% in the early stage to 10% in the advanced stage (2). The status of lymph nodes is a crucial factor in the Tumor, Node, Metastasis (TNM) staging system for lung cancer; thus accurate lymph node evaluation is essential for guiding treatment decisions and analyzing prognosis (3). Non-small cell lung cancer (NSCLC) comprises roughly 85% of all lung cancer cases, and early clinical stage cases are recommended to undergo surgery and comprehensive lymph node analysis (4).
Among NSCLC patients, those with N2 lymph node metastasis are a highly heterogeneous group, with considerable differences in survival (5). Various studies have investigated the prognostic impact of a wide range of lymph node-related factors, including the number of metastatic N2 lymph nodes (6-9), involved stations (10,11), and the involved zones (8,12), lymph node ratio (LNR) (13-15), skip metastasis (16), the highest involved lymph node level (17,18), and whether metastasis occurs in subcarinal lymph nodes (19). Additionally, some researchers have analyzed postoperative recurrence by combining the distribution and quantity of metastatic N2 lymph nodes (20). These studies aim to refine disease stratification within certain groups of the same stage to facilitate personalized treatment and provide evidence for revising the TNM staging system.
Mediastinal skip metastasis is a distinct phenomenon in lung cancer, defined as N2-positive disease without N1 lymph node involvement, and is observed in approximately 17.2–42.3% of N2 NSCLC resection cases (21). While many studies suggest that patients with skip N2 metastases have a better prognosis compared to those without skip metastases (22-26), others report conflicting results (27,28). It is challenging to incorporate skip metastases into the latest version of the lung cancer TNM staging due to its controversial prognostic value (29-31). Regarding the station number involved, prognostically, the prognosis of multi-station-involved patients (N2b) is significantly worse than those with single-station involved (N2a) (32). Therefore, in the 9th edition TNM staging system of lung cancer published recently by the International Association for the Study of Lung Cancer (IASLC), the revised N classification subdivides N2 lymph node metastasis into N2a and N2b. In the subgroup analysis of the 9th edition (33), researchers performed detailed exploratory analyses of N1a (single-station N1), N1b (multiple-station N1), N2a1 (single-station N2 without N1 involvement or skip metastasis), N2a2 (single-station N2 with N1 involvement), and N2b, which leads to a lack of discussions on prognostic significance of skip metastasis in N2b (34). Few studies have examined whether skip metastasis confers a favorable prognosis within N2b, a more progressive disease with a worse prognosis compared to N2a.
This study aims to validate the prognostic value of skip metastasis in patients with N2a and investigate whether the presence or absence of N1 involvement still affects survival outcomes within N2b. By stratifying patients more precisely, we seek to provide evidence that supports personal therapeutic strategies and inform future revisions of the TNM staging system. We present this article in accordance with the STROBE reporting checklist (available at https://tlcr.amegroups.com/article/view/10.21037/tlcr-2025-272/rc).
Methods
Patients
This study included patients with lung cancer who underwent surgery at the Department of Thoracic Surgery, Sun Yat-sen University Cancer Center, between November 1, 2008, and December 31, 2018. The inclusion criteria were: (I) with no evidence of distant metastasis; (II) radical resection with lobectomy or more extensive resection and systematic lymph node dissection; and (III) with one single lung malignancy with N1 or N2 lymph node involvement. The exclusion criteria were: (I) receipt of any preoperative neoadjuvant therapy (e.g., chemotherapy, radiotherapy, targeted therapy, or immunotherapy); (II) secondary lung malignancies; (III) multiple primary lung malignancies; (IV) died or relapsed within one month after surgery; (V) incomplete medical records. This study was approved by the Ethics Committee of Sun Yat-sen University Cancer Center (No. B2020-255-Y02) and performed in accordance with the Declaration of Helsinki and its subsequent amendments. The requirement for written informed consent was waived due to the retrospective design and the use of anonymized data.
General demographical, clinicopathological characteristics and survival data were collected, including age, gender, body mass index (BMI), surgery method, pathological type, overall survival (OS) time, and disease-free survival (DFS) time. OS was defined as the time interval from the date of lung cancer surgery to death due to any cause. DFS was calculated as the period from the date of surgery to the first occurrence of disease recurrence or death from any cause, whichever occurred first. Additionally, the number of dissected and positive lymph nodes at each station was also recorded. Tumor staging was performed according to the 9th edition of the TNM staging system for lung cancer (35).
Specimen treatment
The definition of lymph nodes at each station are based on the IASLC lymph node map (36). Lymph node specimens were obtained through systematic lymph node dissection, which required at least three N2 stations (including station 7) and one N1 station. Typically, lymph nodes from N2 stations, as well as stations 10 and 11, were dissected during the operation. Following resection, additional intrapulmonary lymph nodes along the bronchial branches were dissected by another surgeon to ensure comprehensive sampling. The status of each lymph node station, including dissection number and positive number, was extracted through elaborately reviewing the postoperative pathology reports from the electronic medical record system of Sun Yat-sen University Cancer Center.
Therapy and follow-up
The decision to administer adjuvant therapy and the selection of the therapeutic regimen were based on a comprehensive evaluation of the physician’s clinical expertise, patient preferences, and established medical guidelines. However, some patients who were recommended for adjuvant therapy ultimately declined treatment due to personal preferences. Postoperative follow-up typically began with an initial visit approximately one month after surgery to assess overall recovery and subsequent treatment. Afterwards, patients were routinely monitored for recurrence every 3 months during the first 2 years, every 6 months during years 3 to 5, and annually thereafter. More frequent and intense evaluations were conducted if there were clinical suspicions of recurrence, with timely interventions provided as necessary. Follow-up assessments included measurements of tumor markers, chest computed tomography (CT), abdominal CT, cranial CT or magnetic resonance imaging (MRI), and positron emission tomography (PET)-CT when indicated. Survival data were updated through telephone interviews or clinic visits, with the most recent update completed by December 31, 2023.
Statistical analysis
All patients were categorized into five groups: pN1, non-skip pN2a, skip pN2a, non-skip pN2b, and skip pN2b. The total number of dissected lymph nodes, positive lymph nodes, and overall LNR of each station as well as mean N1 dissected number, mean N1 dissected station count, mean N2 dissected number, and mean N2 dissected station count for each patient, were calculated for these groups. Age and BMI were dichotomized based on the median values of total participants to facilitate statistical analysis. Categorical variables were compared among different groups using Fisher’s exact test or Pearson’s Chi-squared test. OS and DFS were estimated using the Kaplan-Meier method, with survival differences assessed by the log-rank test. Patients who did not experience an event (death or recurrence) or were lost to follow up were treated as censored cases.
Univariate and multivariate analyses using the Cox proportional hazards regression model were performed to determine the prognostic value of the concerned variables. To minimize confounding bias, propensity score matching (PSM) and inverse probability of treatment weighting (IPTW) were employed to balance covariates between groups (pN1 vs. skip pN2a, skip pN2a vs. non-skip pN2a, skip pN2b vs. non-skip pN2b, non-skip pN2a vs. skip pN2b). Matching factors included age, BMI, sex, tumor location, smoke history, alcohol history, resection extent, minimally invasive surgery (MIS), receipt of adjuvant therapy, prior cancer history, pT stage, and histological type. Any statistical tests were performed as two-sided, and a P value of <0.05 was considered statistically significant. All statistical analyses were conducted using R software (version 4.4.1, 2024-06-14, ucrt), with main R packages including survival, survminer, gtsummary, tableone, ggplot2, cowplot, survey, and matchit.
Results
Characteristics of participants
In this study, we enrolled a cohort of 1,873 patients diagnosed with lung cancer that met the inclusion criteria, comprising 642 individuals with pN1 disease, 418 with non-skip pN2a, 294 with skip pN2a, 393 with non-skip pN2b, and 126 with skip pN2b (Figure 1). The median age and BMI were 58 years and 23 kg/m2, respectively, with corresponding mean values of 59 years and 23 kg/m2. Comparisons across the pN1, pN2a, and pN2b groups (Table 1) revealed no significant differences in terms of age (P=0.18), BMI (P=0.68), sex (P=0.11), smoking history (P=0.26), alcohol intake (P=0.53), extent of surgical resection (P=0.12), MIS (P=0.85), receipt of adjuvant therapy (P=0.17), history of prior cancer (P=0.92), and pT distribution (P=0.17). However, significant differences were found in tumor location (P<0.001) and histological type (P<0.001) across the three subgroups. Specifically, the two most common tumor locations, collectively accounting for over 50% of cases, were the right upper lobe (RUL; 26.5%) and left upper lobe (LUL; 26.5%) in the pN1 group; RUL (21.1%) and LUL (30.9%) in the pN2a group; and RUL (38.3%) and right lower lobe (RLL; 20.0%) in the pN2b group. Lung adenocarcinoma (LUAD) was the predominant pathological type, accounting for 57.5% in pN1 group, 62.5% in pN2a group, and 71.3% in pN2b group.
Table 1
| Features | pN1 (n=642), n (%) | pN2a (n=712), n (%) | pN2b (n=519), n (%) | P value |
|---|---|---|---|---|
| Age (years) | 0.12 | |||
| ≤58 | 298 (46.4) | 364 (51.1) | 263 (50.7) | |
| >58 | 344 (53.6) | 348 (48.9) | 256 (49.3) | |
| BMI (kg/m2) | 0.68 | |||
| ≤23 | 335 (52.2) | 379 (53.2) | 263 (50.7) | |
| >23 | 307 (47.8) | 333 (46.8) | 256 (49.3) | |
| Sex | 0.11 | |||
| Female | 214 (33.3) | 265 (37.2) | 203 (39.1) | |
| Male | 428 (66.7) | 447 (62.8) | 316 (60.9) | |
| Location | <0.001 | |||
| RUL | 170 (26.5) | 150 (21.1) | 199 (38.3) | |
| RML | 50 (7.8) | 51 (7.1) | 52 (10.0) | |
| RLL | 115 (17.9) | 156 (21.9) | 104 (20.0) | |
| LUL | 170 (26.5) | 220 (30.9) | 96 (18.5) | |
| LLL | 137 (21.3) | 135 (19.0) | 68 (13.1) | |
| Smoke history | 0.26 | |||
| Non-smoker | 323 (50.3) | 388 (54.5) | 280 (53.9) | |
| Smoker | 319 (49.7) | 324 (45.5) | 239 (46.1) | |
| Alcohol history | 0.53 | |||
| Non-drinker | 464 (72.3) | 520 (73.0) | 390 (75.1) | |
| Drinker | 178 (27.7) | 192 (27.0) | 129 (24.9) | |
| Extent of resection | 0.12 | |||
| Lobectomy | 586 (91.3) | 656 (92.1) | 490 (94.4) | |
| Extensive resection | 56 (8.72) | 56 (7.87) | 29 (5.59) | |
| MIS | 0.85 | |||
| No | 421 (65.6) | 463 (65.0) | 332 (64.0) | |
| Yes | 221 (34.4) | 249 (35.0) | 187 (36.0) | |
| Adjuvant therapy | 0.17 | |||
| No | 215 (33.5) | 215 (30.2) | 148 (28.5) | |
| Yes | 427 (66.5) | 497 (69.8) | 371 (71.5) | |
| Prior cancer history | 0.92 | |||
| No | 616 (96.0) | 683 (95.9) | 500 (96.3) | |
| Yes | 26 (4.05) | 29 (4.07) | 19 (3.66) | |
| pT stage | 0.17 | |||
| pT1 | 285 (44.4) | 289 (40.6) | 244 (47.0) | |
| pT2 | 236 (36.8) | 279 (39.2) | 187 (36.0) | |
| pT3 | 82 (12.8) | 112 (15.7) | 65 (12.5) | |
| pT4 | 39 (6.07) | 32 (4.49) | 23 (4.43) | |
| Histological type | <0.001 | |||
| LUAD | 369 (57.5) | 445 (62.5) | 370 (71.3) | |
| LUSC | 163 (25.4) | 133 (18.7) | 53 (10.2) | |
| Other NSCLC | 110 (17.1) | 134 (18.8) | 96 (18.5) |
BMI, body mass index; LLL, left lower lobe; LUAD, lung adenocarcinoma; LUL, left upper lobe; LUSC, lung squamous carcinoma; MIS, minimally invasive surgery; N, node; NSCLC, non-small cell lung cancer; RLL, right lower lobe; RML, right middle lobe; RUL, right upper lobe; T, tumor.
Among pN2a patients (Table 2), a significantly higher proportion in the non-skip group received adjuvant therapy compared to the skip group (75.1% vs. 62.2%, P<0.001), and histological subtype distribution also differed significantly (P<0.001), though no significant difference in pT distribution was noted (P=0.83). In contrast, for pN2b patients, there were no significant differences between the non-skip and skip groups in receipt of adjuvant therapy (72.0% vs. 69.8%, P=0.72), histological type (P=0.74), or pT stage distribution (P=0.83). Only tumor location showed a significantly different distribution between non-skip pN2b and skip p2b (P<0.001, Table 3). Further comparisons between the pN1 and skip pN2a groups, as well as between non-skip pN2a and skip pN2b groups, are summarized in Tables 4,5. These detailed subgroup analyses highlight distinct characteristics across groups, underscoring the potential prognostic relevance of skip metastasis and other clinicopathological variables in lung cancer.
Table 2
| Features | Baseline | After PSM | After IPTW | ||||||||
|---|---|---|---|---|---|---|---|---|---|---|---|
| Non-skip pN2a (n=418), n (%) | Skip pN2a (n=294), n (%) | P value | Non-skip pN2a (n=294), n (%) | Skip pN2a (n=294), n (%) | P value | Non-skip pN2a (n=714), n (%) | Skip pN2a (n=706), n (%) | P value | |||
| Age (years) | 0.38 | 0.81 | 0.98 | ||||||||
| ≤58 | 220 (52.6) | 144 (49.0) | 148 (50.3) | 144 (49.0) | 361 (50.6) | 356 (50.4) | |||||
| >58 | 198 (47.4) | 150 (51.0) | 146 (49.7) | 150 (51.0) | 353 (49.4) | 350 (49.6) | |||||
| BMI (kg/m2) | >0.99 | 0.32 | 0.76 | ||||||||
| ≤23 | 223 (53.3) | 156 (53.1) | 169 (57.5) | 156 (53.1) | 377 (52.7) | 381 (54.0) | |||||
| >23 | 195 (46.7) | 138 (46.9) | 125 (42.5) | 138 (46.9) | 337 (47.3) | 325 (46.0) | |||||
| Sex | 0.09 | 0.79 | 0.98 | ||||||||
| Female | 167 (40.0) | 98 (33.3) | 102 (34.7) | 98 (33.3) | 263 (36.8) | 260 (36.7) | |||||
| Male | 251 (60.0) | 196 (66.7) | 192 (65.3) | 196 (66.7) | 451 (63.2) | 446 (63.3) | |||||
| Location | 0.08 | 0.92 | >0.99 | ||||||||
| RUL | 74 (17.7) | 76 (25.9) | 67 (22.8) | 76 (25.9) | 149 (20.9) | 150 (21.3) | |||||
| RML | 33 (7.89) | 18 (6.12) | 18 (6.12) | 18 (6.12) | 50 (7.0) | 50 (7.1) | |||||
| RLL | 90 (21.5) | 66 (22.4) | 65 (22.1) | 66 (22.4) | 160 (22.4) | 159 (22.5) | |||||
| LUL | 135 (32.3) | 85 (28.9) | 92 (31.3) | 85 (28.9) | 220 (30.7) | 217 (30.7) | |||||
| LLL | 86 (20.6) | 49 (16.7) | 52 (17.7) | 49 (16.7) | 135 (18.9) | 130 (18.4) | |||||
| Smoke history | 0.05 | 0.87 | 0.97 | ||||||||
| Non-smoker | 241 (57.7) | 147 (50.0) | 150 (51.0) | 147 (50.0) | 388 (54.4) | 382 (54.2) | |||||
| Smoker | 177 (42.3) | 147 (50.0) | 144 (49.0) | 147 (50.0) | 326 (45.6) | 324 (45.8) | |||||
| Alcohol history | 0.11 | 0.86 | 0.96 | ||||||||
| Non-drinker | 315 (75.4) | 205 (69.7) | 208 (70.7) | 205 (69.7) | 513 (71.9) | 506 (71.7) | |||||
| Drinker | 103 (24.6) | 89 (30.3) | 86 (29.3) | 89 (30.3) | 201 (28.1) | 200 (28.3) | |||||
| Extent of resection | 0.92 | >0.99 | 0.92 | ||||||||
| Lobectomy | 386 (92.3) | 270 (91.8) | 271 (92.2) | 270 (91.8) | 659 (92.3) | 652 (92.5) | |||||
| Extensive resection | 32 (7.66) | 24 (8.16) | 23 (7.82) | 24 (8.16) | 55 (7.7) | 52 (7.5) | |||||
| MIS | 0.36 | >0.99 | 0.99 | ||||||||
| No | 278 (66.5) | 185 (62.9) | 184 (62.6) | 185 (62.9) | 465 (65.1) | 459 (65.0) | |||||
| Yes | 140 (33.5) | 109 (37.1) | 110 (37.4) | 109 (37.1) | 249 (34.9) | 247 (35.0) | |||||
| Adjuvant therapy | <0.001 | 0.34 | 0.89 | ||||||||
| No | 104 (24.9) | 111 (37.8) | 99 (33.7) | 111 (37.8) | 219 (30.7) | 220 (31.2) | |||||
| Yes | 314 (75.1) | 183 (62.2) | 195 (66.3) | 183 (62.2) | 495 (69.3) | 486 (68.8) | |||||
| Prior cancer history | 0.86 | >0.99 | 0.97 | ||||||||
| No | 400 (95.7) | 283 (96.3) | 283 (96.3) | 283 (96.3) | 685 (95.9) | 677 (95.9) | |||||
| Yes | 18 (4.31) | 11 (3.74) | 11 (3.74) | 11 (3.74) | 29 (4.1) | 29 (4.1) | |||||
| pT stage | 0.14 | 0.94 | >0.99 | ||||||||
| pT1 | 184 (44.0) | 105 (35.7) | 112 (38.1) | 105 (35.7) | 291 (40.8) | 291 (41.2) | |||||
| pT2 | 158 (37.8) | 121 (41.2) | 117 (39.8) | 121 (41.2) | 276 (38.7) | 272 (38.6) | |||||
| pT3 | 59 (14.1) | 53 (18.0) | 50 (17.0) | 53 (18.0) | 114 (15.9) | 112 (15.9) | |||||
| pT4 | 17 (4.07) | 15 (5.10) | 15 (5.10) | 15 (5.10) | 33 (4.6) | 31 (4.4) | |||||
| Histological type | <0.001 | 0.28 | 0.99 | ||||||||
| LUAD | 284 (67.9) | 161 (54.8) | 170 (57.8) | 161 (54.8) | 445 (62.4) | 436 (61.8) | |||||
| LUSC | 59 (14.1) | 74 (25.2) | 58 (19.7) | 74 (25.2) | 134 (18.8) | 134 (19.0) | |||||
| Other NSCLC | 75 (17.9) | 59 (20.1) | 66 (22.4) | 59 (20.1) | 135 (18.9) | 136 (19.2) | |||||
BMI, body mass index; IPTW, inverse probability of treatment weighting; LLL, left lower lobe; LUAD, lung adenocarcinoma; LUL, left upper lobe; LUSC, lung squamous carcinoma; MIS, minimally invasive surgery; N, node; NSCLC, non-small cell lung cancer; PSM, propensity score matching; RLL, right lower lobe; RML, right middle lobe; RUL, right upper lobe; T, tumor.
Table 3
| Features | Baseline | After PSM | After IPTW | ||||||||
|---|---|---|---|---|---|---|---|---|---|---|---|
| Non-skip pN2b (n=393), n (%) | Skip pN2b (n=126), n (%) | P value | Non-skip pN2b (n=126), n (%) | Skip pN2b (n=126), n (%) | P value | Non-skip pN2b (n=519), n (%) | Skip pN2b (n=512), n (%) | P value | |||
| Age (years) | 0.19 | 0.80 | 0.74 | ||||||||
| ≤58 | 206 (52.4) | 57 (45.2) | 60 (47.6) | 57 (45.2) | 264 (50.8) | 270 (52.7) | |||||
| >58 | 187 (47.6) | 69 (54.8) | 66 (52.4) | 69 (54.8) | 255 (49.2) | 242 (47.3) | |||||
| BMI (kg/m2) | >0.99 | 0.80 | 0.95 | ||||||||
| ≤23 | 199 (50.6) | 64 (50.8) | 61 (48.4) | 64 (50.8) | 265 (51.1) | 263 (51.3) | |||||
| >23 | 194 (49.4) | 62 (49.2) | 65 (51.6) | 62 (49.2) | 254 (48.9) | 249 (48.7) | |||||
| Sex | 0.23 | >0.99 | 0.64 | ||||||||
| Female | 160 (40.7) | 43 (34.1) | 42 (33.3) | 43 (34.1) | 203 (39.1) | 187 (36.5) | |||||
| Male | 233 (59.3) | 83 (65.9) | 84 (66.7) | 83 (65.9) | 316 (60.9) | 325 (63.5) | |||||
| Location | <0.001 | 0.91 | >0.99 | ||||||||
| RUL | 134 (34.1) | 65 (51.6) | 66 (52.4) | 65 (51.6) | 200 (38.4) | 202 (39.5) | |||||
| RML | 36 (9.16) | 16 (12.7) | 13 (10.3) | 16 (12.7) | 51 (9.9) | 49 (9.6) | |||||
| RLL | 83 (21.1) | 21 (16.7) | 25 (19.8) | 21 (16.7) | 104 (20.1) | 102 (19.9) | |||||
| LUL | 77 (19.6) | 19 (15.1) | 16 (12.7) | 19 (15.1) | 96 (18.5) | 98 (19.1) | |||||
| LLL | 63 (16.0) | 5 (3.97) | 6 (4.76) | 5 (3.97) | 68 (13.1) | 61 (11.9) | |||||
| Smoke history | 0.26 | 0.80 | 0.97 | ||||||||
| Non-smoker | 218 (55.5) | 62 (49.2) | 59 (46.8) | 62 (49.2) | 281 (54.2) | 278 (54.4) | |||||
| Smoker | 175 (44.5) | 64 (50.8) | 67 (53.2) | 64 (50.8) | 238 (45.8) | 234 (45.6) | |||||
| Alcohol history | 0.78 | >0.99 | 0.88 | ||||||||
| Non-drinker | 297 (75.6) | 93 (73.8) | 93 (73.8) | 93 (73.8) | 391 (75.4) | 382 (74.6) | |||||
| Drinker | 96 (24.4) | 33 (26.2) | 33 (26.2) | 33 (26.2) | 128 (24.6) | 130 (25.4) | |||||
| Extent of resection | 0.26 | 0.75 | 0.95 | ||||||||
| Lobectomy | 368 (93.6) | 122 (96.8) | 120 (95.2) | 122 (96.8) | 490 (94.5) | 485 (94.7) | |||||
| Extensive resection | 25 (6.36) | 4 (3.17) | 6 (4.76) | 4 (3.17) | 29 (5.5) | 27 (5.3) | |||||
| MIS | 0.08 | 0.90 | 0.74 | ||||||||
| No | 260 (66.2) | 72 (57.1) | 70 (55.6) | 72 (57.1) | 331 (63.7) | 316 (61.8) | |||||
| Yes | 133 (33.8) | 54 (42.9) | 56 (44.4) | 54 (42.9) | 188 (36.3) | 196 (38.2) | |||||
| Adjuvant therapy | 0.72 | 0.40 | 0.96 | ||||||||
| No | 110 (28.0) | 38 (30.2) | 31 (24.6) | 38 (30.2) | 150 (28.8) | 149 (29.1) | |||||
| Yes | 283 (72.0) | 88 (69.8) | 95 (75.4) | 88 (69.8) | 369 (71.2) | 363 (70.9) | |||||
| Prior cancer history | 0.06 | >0.99 | 0.91 | ||||||||
| No | 375 (95.4) | 125 (99.2) | 126 (100.0) | 125 (99.2) | 500 (96.3) | 495 (96.7) | |||||
| Yes | 18 (4.58) | 1 (0.79) | 0 (0.0) | 1 (0.79) | 19 (3.7) | 17 (3.3) | |||||
| pT stage | 0.83 | 0.63 | 0.78 | ||||||||
| pT1 | 183 (46.6) | 61 (48.4) | 67 (53.2) | 61 (48.4) | 244 (47.0) | 222 (43.4) | |||||
| pT2 | 145 (36.9) | 42 (33.3) | 35 (27.8) | 42 (33.3) | 188 (36.3) | 214 (41.7) | |||||
| pT3 | 47 (12.0) | 18 (14.3) | 16 (12.7) | 18 (14.3) | 64 (12.3) | 57 (11.2) | |||||
| pT4 | 18 (4.58) | 5 (3.97) | 8 (6.35) | 5 (3.97) | 23 (4.4) | 19 (3.7) | |||||
| Histological type | 0.74 | 0.59 | 0.78 | ||||||||
| LUAD | 283 (72.0) | 87 (69.0) | 93 (73.8) | 87 (69.0) | 370 (71.3) | 347 (67.8) | |||||
| LUSC | 38 (9.67) | 15 (11.9) | 15 (11.9) | 15 (11.9) | 53 (10.2) | 65 (12.7) | |||||
| Other NSCLC | 72 (18.3) | 24 (19.0) | 18 (14.3) | 24 (19.0) | 96 (18.5) | 100 (19.4) | |||||
BMI, body mass index; IPTW, inverse probability of treatment weighting; LLL, left lower lobe; LUAD, lung adenocarcinoma; LUL, left upper lobe; LUSC, lung squamous carcinoma; MIS, minimally invasive surgery; N, node; NSCLC, non-small cell lung cancer; PSM, propensity score matching; RLL, right lower lobe; RML, right middle lobe; RUL, right upper lobe; T, tumor.
Table 4
| Features | Baseline | After PSM | After IPTW | ||||||||
|---|---|---|---|---|---|---|---|---|---|---|---|
| pN1 (n=642), n (%) | Skip pN2a (n=294), n (%) | P value | pN1 (n=294), n (%) | Skip pN2a (n=294), n (%) | P value | pN1 (n=936), n (%) | Skip pN2a (n=935), n (%) | P value | |||
| Age (years) | 0.51 | 0.80 | 0.90 | ||||||||
| ≤58 | 298 (46.4) | 144 (49.0) | 140 (47.6) | 144 (49.0) | 443 (47.3) | 447 (47.8) | |||||
| >58 | 344 (53.6) | 150 (51.0) | 154 (52.4) | 150 (51.0) | 493 (52.7) | 488 (52.2) | |||||
| BMI (kg/m2) | 0.86 | >0.99 | 0.94 | ||||||||
| ≤23 | 335 (52.2) | 156 (53.1) | 157 (53.4) | 156 (53.1) | 491 (52.4) | 488 (52.2) | |||||
| >23 | 307 (47.8) | 138 (46.9) | 137 (46.6) | 138 (46.9) | 445 (47.6) | 447 (47.8) | |||||
| Sex | >0.99 | 0.60 | 0.86 | ||||||||
| Female | 214 (33.3) | 98 (33.3) | 91 (31.0) | 98 (33.3) | 309 (33.1) | 304 (32.5) | |||||
| Male | 428 (66.7) | 196 (66.7) | 203 (69.0) | 196 (66.7) | 627 (66.9) | 631 (67.5) | |||||
| Location | 0.23 | 0.64 | >0.99 | ||||||||
| RUL | 170 (26.5) | 76 (25.9) | 90 (30.6) | 76 (25.9) | 246 (26.3) | 247 (26.4) | |||||
| RML | 50 (7.79) | 18 (6.12) | 18 (6.12) | 18 (6.12) | 68 (7.3) | 72 (7.7) | |||||
| RLL | 115 (17.9) | 66 (22.4) | 56 (19.0) | 66 (22.4) | 182 (19.4) | 184 (19.7) | |||||
| LUL | 170 (26.5) | 85 (28.9) | 77 (26.2) | 85 (28.9) | 255 (27.2) | 253 (27.1) | |||||
| LLL | 137 (21.3) | 49 (16.7) | 53 (18.0) | 49 (16.7) | 185 (19.8) | 179 (19.1) | |||||
| Smoke history | 0.99 | >0.99 | 0.91 | ||||||||
| Non-smoker | 323 (50.3) | 147 (50.0) | 147 (50.0) | 147 (50.0) | 468 (50.0) | 464 (49.6) | |||||
| Smoker | 319 (49.7) | 147 (50.0) | 147 (50.0) | 147 (50.0) | 468 (50.0) | 471 (50.4) | |||||
| Alcohol history | 0.47 | 0.38 | 0.86 | ||||||||
| Non-drinker | 464 (72.3) | 205 (69.7) | 194 (66.0) | 205 (69.7) | 666 (71.2) | 660 (70.6) | |||||
| Drinker | 178 (27.7) | 89 (30.3) | 100 (34.0) | 89 (30.3) | 270 (28.8) | 275 (29.4) | |||||
| Extent of resection | 0.87 | 0.77 | 0.96 | ||||||||
| Lobectomy | 586 (91.3) | 270 (91.8) | 267 (90.8) | 270 (91.8) | 856 (91.4) | 854 (91.3) | |||||
| Extensive resection | 56 (8.72) | 24 (8.16) | 27 (9.18) | 24 (8.16) | 80 (8.6) | 81 (8.7) | |||||
| MIS | 0.48 | 0.61 | 0.90 | ||||||||
| No | 421 (65.6) | 185 (62.9) | 192 (65.3) | 185 (62.9) | 605 (64.6) | 600 (64.2) | |||||
| Yes | 221 (34.4) | 109 (37.1) | 102 (34.7) | 109 (37.1) | 331 (35.4) | 335 (35.8) | |||||
| Adjuvant therapy | 0.23 | 0.74 | 0.94 | ||||||||
| No | 215 (33.5) | 111 (37.8) | 116 (39.5) | 111 (37.8) | 325 (34.8) | 323 (34.5) | |||||
| Yes | 427 (66.5) | 183 (62.2) | 178 (60.5) | 183 (62.2) | 611 (65.2) | 612 (65.5) | |||||
| Prior cancer history | 0.97 | 0.64 | 0.98 | ||||||||
| No | 616 (96.0) | 283 (96.3) | 286 (97.3) | 283 (96.3) | 899 (96.1) | 898 (96.0) | |||||
| Yes | 26 (4.05) | 11 (3.74) | 8 (2.72) | 11 (3.74) | 37 (3.9) | 37 (4.0) | |||||
| pT stage | 0.03 | 0.97 | >0.99 | ||||||||
| pT1 | 285 (44.4) | 105 (35.7) | 100 (34.0) | 105 (35.7) | 390 (41.7) | 388 (41.5) | |||||
| pT2 | 236 (36.8) | 121 (41.2) | 126 (42.9) | 121 (41.2) | 357 (38.2) | 357 (38.2) | |||||
| pT3 | 82 (12.8) | 53 (18.0) | 53 (18.0) | 53 (18.0) | 135 (14.4) | 134 (14.3) | |||||
| pT4 | 39 (6.07) | 15 (5.10) | 15 (5.10) | 15 (5.10) | 54 (5.8) | 56 (6.0) | |||||
| Histological type | 0.54 | 0.56 | 0.98 | ||||||||
| LUAD | 369 (57.5) | 161 (54.8) | 148 (50.3) | 161 (54.8) | 528 (56.4) | 522 (55.8) | |||||
| LUSC | 163 (25.4) | 74 (25.2) | 80 (27.2) | 74 (25.2) | 238 (25.4) | 242 (25.9) | |||||
| Other NSCLC | 110 (17.1) | 59 (20.1) | 66 (22.4) | 59 (20.1) | 169 (18.1) | 171 (18.3) | |||||
BMI, body mass index; IPTW, inverse probability of treatment weighting; LLL, left lower lobe; LUAD, lung adenocarcinoma; LUL, left upper lobe; LUSC, lung squamous carcinoma; MIS, minimally invasive surgery; N, node; NSCLC, non-small cell lung cancer; PSM, propensity score matching; RLL, right lower lobe; RML, right middle lobe; RUL, right upper lobe; T, tumor.
Table 5
| Features | Baseline | After PSM | After IPTW | ||||||||
|---|---|---|---|---|---|---|---|---|---|---|---|
| Non-skip pN2a (n=418), n (%) | Skip pN2b (n=126), n (%) | P value | Non-skip pN2a (n=126), n (%) | Skip pN2b (n=126), n (%) | P value | Non-skip pN2a (n=544), n (%) | Skip pN2b (n=528), n (%) | P value | |||
| Age (years) | 0.18 | >0.99 | 0.95 | ||||||||
| ≤58 | 220 (52.6) | 57 (45.2) | 58 (46.0) | 57 (45.2) | 277 (50.9) | 271 (51.3) | |||||
| >58 | 198 (47.4) | 69 (54.8) | 68 (54.0) | 69 (54.8) | 267 (49.1) | 257 (48.7) | |||||
| BMI (kg/m2) | 0.69 | >0.99 | 0.94 | ||||||||
| ≤23 | 223 (53.3) | 64 (50.8) | 64 (50.8) | 64 (50.8) | 285 (52.4) | 274 (51.9) | |||||
| >23 | 195 (46.7) | 62 (49.2) | 62 (49.2) | 62 (49.2) | 259 (47.6) | 254 (48.1) | |||||
| Sex | 0.28 | 0.90 | 0.75 | ||||||||
| Female | 167 (40.0) | 43 (34.1) | 45 (35.7) | 43 (34.1) | 211 (38.9) | 195 (36.9) | |||||
| Male | 251 (60.0) | 83 (65.9) | 81 (64.3) | 83 (65.9) | 333 (61.1) | 333 (63.1) | |||||
| Location | <0.001 | 0.93 | 0.98 | ||||||||
| RUL | 74 (17.7) | 65 (51.6) | 61 (48.4) | 65 (51.6) | 139 (25.5) | 147 (27.7) | |||||
| RML | 33 (7.89) | 16 (12.7) | 16 (12.7) | 16 (12.7) | 49 (9.0) | 48 (9.1) | |||||
| RLL | 90 (21.5) | 21 (16.7) | 26 (20.6) | 21 (16.7) | 111 (20.5) | 112 (21.2) | |||||
| LUL | 135 (32.3) | 19 (15.1) | 17 (13.5) | 19 (15.1) | 154 (28.3) | 134 (25.5) | |||||
| LLL | 86 (20.6) | 5 (3.97) | 6 (4.76) | 5 (3.97) | 91 (16.7) | 87 (16.6) | |||||
| Smoke history | 0.12 | 0.71 | 0.67 | ||||||||
| Non-smoker | 241 (57.7) | 62 (49.2) | 66 (52.4) | 62 (49.2) | 307 (56.5) | 312 (59.1) | |||||
| Smoker | 177 (42.3) | 64 (50.8) | 60 (47.6) | 64 (50.8) | 237 (43.5) | 216 (40.9) | |||||
| Alcohol history | 0.81 | 0.58 | 0.74 | ||||||||
| Non-drinker | 315 (75.4) | 93 (73.8) | 88 (69.8) | 93 (73.8) | 406 (74.7) | 384 (72.8) | |||||
| Drinker | 103 (24.6) | 33 (26.2) | 38 (30.2) | 33 (26.2) | 138 (25.3) | 144 (27.2) | |||||
| Extent of resection | 0.12 | 0.68 | 0.62 | ||||||||
| Lobectomy | 386 (92.3) | 122 (96.8) | 124 (98.4) | 122 (96.8) | 508 (93.4) | 503 (95.2) | |||||
| Extensive resection | 32 (7.66) | 4 (3.17) | 2 (1.59) | 4 (3.17) | 36 (6.6) | 25 (4.8) | |||||
| MIS | 0.07 | 0.70 | 0.54 | ||||||||
| No | 278 (66.5) | 72 (57.1) | 68 (54.0) | 72 (57.1) | 348 (63.9) | 317 (60.1) | |||||
| Yes | 140 (33.5) | 54 (42.9) | 58 (46.0) | 54 (42.9) | 196 (36.1) | 211 (39.9) | |||||
| Adjuvant therapy | 0.29 | >0.99 | 0.59 | ||||||||
| No | 104 (24.9) | 38 (30.2) | 38 (30.2) | 38 (30.2) | 146 (26.8) | 158 (29.8) | |||||
| Yes | 314 (75.1) | 88 (69.8) | 88 (69.8) | 88 (69.8) | 398 (73.2) | 370 (70.2) | |||||
| Prior cancer history | 0.09 | >0.99 | 0.84 | ||||||||
| No | 400 (95.7) | 125 (99.2) | 125 (99.2) | 125 (99.2) | 525 (96.5) | 513 (97.1) | |||||
| Yes | 18 (4.31) | 1 (0.79) | 1 (0.79) | 1 (0.79) | 19 (3.5) | 15 (2.9) | |||||
| pT stage | 0.82 | 0.78 | 0.97 | ||||||||
| pT1 | 184 (44.0) | 61 (48.4) | 67 (53.2) | 61 (48.4) | 246 (45.2) | 230 (43.6) | |||||
| pT2 | 158 (37.8) | 42 (33.3) | 41 (32.5) | 42 (33.3) | 199 (36.5) | 208 (39.4) | |||||
| pT3 | 59 (14.1) | 18 (14.3) | 13 (10.3) | 18 (14.3) | 77 (14.2) | 70 (13.2) | |||||
| pT4 | 17 (4.07) | 5 (3.97) | 5 (3.97) | 5 (3.97) | 22 (4.0) | 20 (3.8) | |||||
| Histological type | 0.81 | 0.76 | 0.71 | ||||||||
| LUAD | 284 (67.9) | 87 (69.0) | 92 (73.0) | 87 (69.0) | 373 (68.6) | 346 (65.6) | |||||
| LUSC | 59 (14.1) | 15 (11.9) | 12 (9.52) | 15 (11.9) | 73 (13.4) | 92 (17.4) | |||||
| Other NSCLC | 75 (17.9) | 24 (19.0) | 22 (17.5) | 24 (19.0) | 98 (18.0) | 90 (17.0) | |||||
BMI, body mass index; IPTW, inverse probability of treatment weighting; LLL, left lower lobe; LUAD, lung adenocarcinoma; LUL, left upper lobe; LUSC, lung squamous carcinoma; MIS, minimally invasive surgery; N, node; NSCLC, non-small cell lung cancer; PSM, propensity score matching; RLL, right lower lobe; RML, right middle lobe; RUL, right upper lobe; T, tumor.
Comparison of characteristics associated with lymph nodes
In this study, all patients underwent systematic lymph node dissection, with a minimum of three N2 stations and one N1 station sampled per case. The overall incidence of skip metastasis in pN2 cases was 34.1%, with a notably higher rate in pN2a cases (41.3%) compared to pN2b cases (24.3%). Table 6 provides detailed lymph node characteristics, including the number of dissected nodes, positive nodes, and LNR for each station across groups. On average, 3.01 N1 stations (9.69 nodes) and 3.43 N2 stations (15.03 nodes) were dissected per patient.
Table 6
| Features | All patients (n=1,873) | pN1 (n=642) | Non-skip pN2a (n=418) | Skip pN2a (n=294) | Non-skip pN2b (n=393) | Skip pN2b (n=126) |
|---|---|---|---|---|---|---|
| N1 dissected number, mean | 9.69 | 10.98 | 9.98 | 7.75 | 9.55 | 7.10 |
| N1 dissected station count, mean | 3.01 | 3.25 | 3.10 | 2.54 | 3.09 | 2.38 |
| N2 dissected number, mean | 15.03 | 14.16 | 13.51 | 14.53 | 17.41 | 18.29 |
| N2 dissected station count, mean | 3.43 | 3.34 | 3.19 | 3.43 | 3.72 | 3.74 |
| Overall LNR, % (total positive number/total dissected number) | ||||||
| Station 2 | 17.76 (928/5,225) | 0 (0/1,538) | 4.02 (34/846) | 2.58 (17/658) | 43.16 (669/1,550) | 32.86 (208/633) |
| Station 3 | 12.78 (101/790) | 0 (0/240) | 10.53 (16/152) | 10.64 (10/94) | 27.51 (63/229) | 16.00 (12/75) |
| Station 4 | 20.61 (1,420/6,889) | 0 (0/2,218) | 12.43 (149/1,199) | 13.13 (127/967) | 48.59 (896/1,844) | 37.52 (248/661) |
| Station 5 | 24.35 (532/2,185) | 0 (0/776) | 28.75 (180/626) | 23.89 (81/339) | 64.34 (240/373) | 43.66 (31/71) |
| Station 6 | 19.62 (226/1,152) | 0 (0/327) | 8.65 (23/266) | 14.98 (34/227) | 52.88 (147/278) | 40.74 (22/54) |
| Station 7 | 14.87 (1,462/9,832) | 0 (0/3,213) | 22.60 (481/2,128) | 13.49 (221/1,638) | 31.00 (670/2,161) | 13.01 (90/692) |
| Station 8 | 7.07 (33/467) | 0 (0/180) | 3.41 (3/88) | 1.41 (1/71) | 25.25 (25/99) | 13.79 (4/29) |
| Station 9 | 5.26 (85/1,615) | 0 (0/596) | 2.62 (9/343) | 2.15 (6/279) | 18.57 (57/307) | 14.44 (13/90) |
| Station 10 | 22.04 (1,112/5,045) | 16 (322/2,013) | 28.58 (327/1,144) | 0 (0/648) | 46.16 (463/1,003) | 0 (0/237) |
| Station 11 | 22.85 (1,126/4,927) | 18.12 (328/1,810) | 26.17 (301/1,150) | 0 (0/655) | 48.44 (497/1,026) | 0 (0/286) |
| N1 other LN | 25.24 (2,064/8,177) | 20.75 (670/3,229) | 31.84 (598/1,878) | 0 (0/975) | 46.17 (796/1,724) | 0 (0/371) |
| In total | 19.63 (9,089/46,304) | 8.18 (1,320/16,140) | 21.60 (2,121/9,820) | 7.59 (497/6,551) | 42.69 (4,523/10,594) | 19.63 (628/3,199) |
N1 other LN: N1 lymph nodes other than station 10 and 11. LN, lymph node; LNR, lymph node ratio; N, node.
Interestingly, among all dissected N1 lymph nodes, those collected from stations other than 10 and 11 exhibited the highest rate of metastasis (25.24%), while station 5 demonstrated a similar high metastatic rate (24.35%). In the pN1 cohort, a total of 16,140 lymph nodes were dissected in total, with 1,320 identified as positive, resulting in a positivity rate of 8.18%. For N1 stations in the pN1 cohort, the positivity rates were 16% (322/2,013) for Station 10, 18.12% (328/1,810) for Station 11, and 20.75% (670/3,229) for other N1 lymph nodes.
In right lung cancer cases, pN2b metastases involving Stations 2 and 4 accounted for 74.9% (266/355), whereas in left lung cancer, the involvement of Stations 5 and 6 was observed in 39.6% (65/164) of pN2b cases. Notably, Station 7 demonstrated high-frequency involvement across both sides, affecting 55.8% of right-sided and 58.5% of left-sided N2b cases (Tables S1,S2). Among the non-skip pN2a, skip pN2a, non-skip pN2b, and skip pN2b subgroups, the positivity rates for all lymph nodes were 21.60% (2,121/9,820), 7.59% (497/6,551), 42.69% (4,523/10,594), and 19.63% (628/3,199), respectively. When focusing on the N2 lymph nodes, Station 7 had the highest dissection count among the four N2 subgroups [22.6% (481/2,128) in non-skip pN2a, 13.49% (221/1,638) in skip pN2a, 31.00% (670/2,161) in non-skip pN2b, and 13.01% (90/692) in skip pN2b]. Station 5 presented with the highest LNR values across subgroups [28.75% (180/626), 23.89% (81/339), 64.34% (240/373), and 43.66% (31/71) for non-skip pN2a, skip pN2a, non-skip pN2b, and skip pN2b, respectively]. Conversely, the stations with the lowest LNR were Station 9 [2.62% (9/343)], Station 8 [1.41% (1/71)], Station 9 [18.57% (57/307)], and Station 7 [13.01% (90/692)], respectively, for these four subgroups. Specifically, within the pN2a group, non-skip cases exhibited higher LNRs at Stations 2, 5, 7, 8, and 9, whereas skip cases showed bigger LNR at Stations 3, 4, and 6. In the pN2b subgroup, LNR across Stations 2 to 9 were consistently higher in non-skip cases compared to skip cases, highlighting significant variation in lymph node involvement patterns across these patient classifications.
Survival analysis
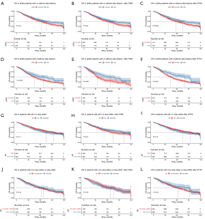
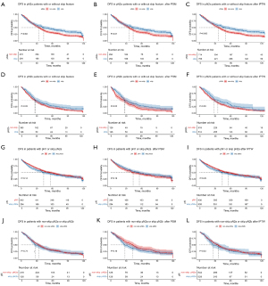
In the complete cohort, the median follow-up time was 88 months, with a median OS of 78 months and a median DFS of 37 months. Specifically, the median follow-up times for the pN1, non-skip pN2a, skip pN2a, non-skip pN2b, and skip pN2b groups were 88, 92, 90, 85, and 90 months, respectively (P=0.53). The median OS for these groups were recorded as 94, 62, 75, 45, and 68 months, while the median DFS values were 56, 34, 43, 26, and 28 months (Table 7). For patients categorized as non-skip pN2a and skip pN2a, the 5-year OS rates were 67% and 72% respectively (P=0.02), with the corresponding 5-year DFS rates being 48% and 57% respectively (P=0.002). In the context of non-skip pN2b and skip pN2b patients, the 5-year OS rates were 58% and 65% respectively (P=0.008), while the 5-year DFS rates were 37% and 42% respectively (P=0.03). No significant differences in the 5-year OS rates were found between the pN1 and skip pN2a groups, which were reported as 77% and 72% respectively (P=0.07), and the 5-year DFS rates were also not significantly different, recorded at 62% and 57% respectively (P=0.19). Furthermore, the 5-year OS rates for non-skip pN2a and skip pN2b showed no significant difference either, being 67% and 65% respectively (P=0.67), with their 5-year DFS rates reported as 48% and 42% respectively (P=0.73).
Table 7
| Group | Follow-up (months) | OS (months) | DFS (months) | 5-year OS (%) | 5-year DFS (%) | |||||||||
|---|---|---|---|---|---|---|---|---|---|---|---|---|---|---|
| Median (95% CI) |
P value | Median (95% CI) |
P value | Median (95% CI) |
P value | Median (95% CI) |
P value | Median (95% CI) |
P value | |||||
| Overall | 88 (84, 93) | 0.53 | 68 (63, 72) | <0.001 | 38 (35, 40) | <0.001 | 53 (51, 55) | <0.001 | 37 (34, 39) | <0.001 | ||||
| pN1 | 88 (79, 94) | 94 (81, 104) | 56 (47, 66) | 63 (60, 67) | 48 (44, 52) | |||||||||
| Non-skip pN2a | 92 (85, 104) | 62 (53, 72) | 34 (30, 38) | 50 (45, 55) | 31 (26, 35) | |||||||||
| Skip pN2a | 90 (77, 102) | 75 (61, 108) | 43 (39, 63) | 57 (51, 63) | 44 (38, 50) | |||||||||
| Non-skip pN2b | 85 (77, 114) | 45 (39, 50) | 26 (22, 29) | 37 (32, 42) | 21 (17, 26) | |||||||||
| Skip pN2b | 90 (62, 114) | 68 (47, 93) | 28 (24, 39) | 50 (42, 60) | 28 (21, 38) | |||||||||
CI, confidence interval; DFS, disease-free survival; N, node; OS, overall survival.
In a Cox univariate analysis of the entire cohort, various factors including age, gender, smoking history, type of surgical intervention, receipt of adjuvant therapy, pT stage, and pN subclassification were identified as prognostic factors influencing OS (Table 8). For DFS, prognostic factors included smoking history, pT stage, pathological type, and pN subclassification (Table 9). Additionally, multivariate analysis revealed that age, smoking history, receipt of adjuvant therapy, pT stage, and pN subclassification were independent prognostic factors for OS (Table 8), while age, previous cancer history, pT, pathological type, and pN subclassification were noted as independent prognostic factors for DFS (Table 9).
Table 8
| Features | Cox univariable analysis | Cox multivariable analysis | |||
|---|---|---|---|---|---|
| HR (95% CI) | P value | HR (95% CI) | P value | ||
| Age (years) | |||||
| ≤58 | Reference | Reference | |||
| >58 | 1.36 (1.2, 1.54) | <0.001 | 1.35 (1.19, 1.53) | <0.001 | |
| BMI (kg/m2) | |||||
| ≤23 | Reference | Reference | |||
| >23 | 0.97 (0.86, 1.1) | 0.67 | 0.92 (0.81, 1.04) | 0.18 | |
| Sex | |||||
| Female | Reference | Reference | |||
| Male | 1.20 (1.06, 1.37) | 0.005 | 1.15 (0.98, 1.35) | 0.09 | |
| Location | |||||
| RUL | Reference | Reference | |||
| RML | 1.00 (0.78, 1.27) | 0.98 | 0.98 (0.76, 1.25) | 0.86 | |
| RLL | 1.04 (0.87, 1.25) | 0.66 | 1.05 (0.87, 1.26) | 0.61 | |
| LUL | 1.03 (0.87, 1.22) | 0.75 | 1.04 (0.88, 1.24) | 0.64 | |
| LLL | 1.11 (0.92, 1.33) | 0.27 | 1.17 (0.97, 1.41) | 0.11 | |
| Smoke history | |||||
| Non-smoker | Reference | Reference | |||
| Smoker | 1.28 (1.14, 1.45) | <0.001 | 1.21 (1.04, 1.41) | 0.02 | |
| Alcohol history | |||||
| Non-drinker | Reference | Reference | |||
| Drinker | 1.03 (0.9, 1.18) | 0.68 | 0.88 (0.76, 1.03) | 0.11 | |
| Extent of resection | |||||
| Lobectomy | Reference | Reference | |||
| Extensive resection | 1.21 (0.97, 1.51) | 0.09 | 0.99 (0.78, 1.26) | 0.96 | |
| MIS | |||||
| No | Reference | Reference | |||
| Yes | 0.8 (0.7, 0.91) | <0.001 | 0.89 (0.78, 1.03) | 0.11 | |
| Adjuvant therapy | |||||
| No | Reference | Reference | |||
| Yes | 0.73 (0.64, 0.83) | <0.001 | 0.71 (0.62, 0.81) | <0.001 | |
| Prior cancer history | |||||
| No | Reference | Reference | |||
| Yes | 0.82 (0.59, 1.12) | 0.21 | 0.80 (0.57, 1.11) | 0.18 | |
| pT stage | |||||
| pT1 | Reference | Reference | |||
| pT2 | 1.31 (1.14, 1.5) | <0.001 | 1.31 (1.14, 1.51) | <0.001 | |
| pT3 | 1.49 (1.23, 1.79) | <0.001 | 1.49 (1.22, 1.81) | <0.001 | |
| pT4 | 2.2 (1.69, 2.87) | <0.001 | 2.30 (1.74, 3.03) | <0.001 | |
| Histological type | |||||
| LUAD | Reference | Reference | |||
| LUSC | 1.03 (0.87, 1.21) | 0.75 | 0.91 (0.75, 1.09) | 0.31 | |
| Other NSCLC | 0.96 (0.82, 1.14) | 0.66 | 0.85 (0.72, 1.01) | 0.07 | |
| N1skip.pN2apN2b | |||||
| pN1 | Reference | Reference | |||
| Non-skip pN2a | 1.53 (1.29, 1.81) | <0.001 | 1.66 (1.39, 1.97) | <0.001 | |
| Skip pN2a | 1.20 (0.98, 1.46) | 0.08 | 1.16 (0.95, 1.42) | 0.15 | |
| Non-skip pN2b | 2.04 (1.73, 2.41) | <0.001 | 2.17 (1.83, 2.58) | <0.001 | |
| Skip pN2b | 1.46 (1.12, 1.89) | 0.005 | 1.57 (1.20, 2.06) | 0.001 | |
BMI, body mass index; CI, confidence interval; HR, hazard ratio; LLL, left lower lobe; LUAD, lung adenocarcinoma; LUL, left upper lobe; LUSC, lung squamous carcinoma; MIS, minimally invasive surgery; N, node; NSCLC, non-small cell lung cancer; OS, overall survival; RLL, right lower lobe; RML, right middle lobe; RUL, right upper lobe; T, tumor.
Table 9
| Features | Cox univariable analysis | Cox multivariable analysis | |||
|---|---|---|---|---|---|
| HR (95% CI) | P value | HR (95% CI) | P value | ||
| Age (years) | |||||
| ≤58 | Reference | Reference | |||
| >58 | 1.11 (1, 1.24) | 0.06 | 1.14 (1.02, 1.27) | 0.03 | |
| BMI (kg/m2) | |||||
| ≤23 | Reference | Reference | |||
| >23 | 0.96 (0.86, 1.07) | 0.46 | 0.93 (0.83, 1.04) | 0.17 | |
| Sex | |||||
| Female | Reference | Reference | |||
| Male | 1.09 (0.98, 1.22) | 0.12 | 1.10 (0.95, 1.26) | 0.20 | |
| Location | |||||
| RUL | Reference | Reference | |||
| RML | 0.90 (0.72, 1.12) | 0.36 | 0.91 (0.73, 1.14) | 0.42 | |
| RLL | 1.07 (0.91, 1.26) | 0.42 | 1.09 (0.93, 1.29) | 0.30 | |
| LUL | 1.04 (0.9, 1.21) | 0.57 | 1.09 (0.93, 1.26) | 0.29 | |
| LLL | 1.00 (0.85, 1.18) | >0.99 | 1.08 (0.91, 1.28) | 0.37 | |
| Smoke history | |||||
| Non-smoker | Reference | Reference | |||
| Smoker | 1.12 (1, 1.25) | 0.05 | 1.10 (0.96, 1.27) | 0.15 | |
| Alcohol history | |||||
| Non-drinker | Reference | Reference | |||
| Drinker | 1.02 (0.9, 1.15) | 0.80 | 0.96 (0.84, 1.10) | 0.57 | |
| Extent of resection | |||||
| Lobectomy | Reference | Reference | |||
| Extensive resection | 0.91 (0.74, 1.13) | 0.41 | 0.85 (0.68, 1.07) | 0.16 | |
| MIS | |||||
| No | Reference | Reference | |||
| Yes | 1.04 (0.93, 1.17) | 0.49 | 1.12 (0.99, 1.26) | 0.07 | |
| Adjuvant therapy | |||||
| No | Reference | Reference | |||
| Yes | 0.97 (0.86, 1.09) | 0.60 | 0.95 (0.84, 1.07) | 0.38 | |
| Prior cancer history | |||||
| No | Reference | Reference | |||
| Yes | 1.21 (0.93, 1.57) | 0.16 | 1.35 (1.02, 1.77) | 0.03 | |
| pT stage | |||||
| pT1 | Reference | Reference | |||
| pT2 | 1.16 (1.03, 1.31) | 0.01 | 1.22 (1.07, 1.38) | 0.002 | |
| pT3 | 1.26 (1.07, 1.49) | 0.006 | 1.42 (1.19, 1.70) | <0.001 | |
| pT4 | 1.56 (1.22, 2.01) | <0.001 | 1.85 (1.43, 2.39) | <0.001 | |
| Histological type | |||||
| LUAD | Reference | Reference | |||
| LUSC | 0.85 (0.73, 0.99) | 0.04 | 0.88 (0.74, 1.04) | 0.12 | |
| Other NSCLC | 0.88 (0.76, 1.02) | 0.08 | 0.84 (0.72, 0.98) | 0.02 | |
| N1skip.pN2apN2b | |||||
| pN1 | Reference | Reference | |||
| Non-skip pN2a | 1.53 (1.32, 1.77) | <0.001 | 1.56 (1.34, 1.81) | <0.001 | |
| Skip pN2a | 1.15 (0.97, 1.38) | 0.11 | 1.12 (0.94, 1.33) | 0.22 | |
| Non-skip pN2b | 2.04 (1.75, 2.36) | <0.001 | 2.04 (1.76, 2.38) | <0.001 | |
| Skip pN2b | 1.60 (1.27, 2) | <0.001 | 1.66 (1.32, 2.09) | <0.001 | |
BMI, body mass index; CI, confidence interval; DFS, disease-free survival; HR, hazard ratio; LLL, left lower lobe; LUAD, lung adenocarcinoma; LUL, left upper lobe; LUSC, lung squamous carcinoma; MIS, minimally invasive surgery; N, node; NSCLC, non-small cell lung cancer; RLL, right lower lobe; RML, right middle lobe; RUL, right upper lobe; T, tumor.
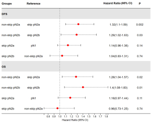
Survival differences were further analyzed using the log-rank test. Figures 2,3 present DFS and OS of pairwise comparison across different groups at baseline and after adjustment of PSM and IPTW. Specifically, Figures 2A,3A indicate that there were significant differences in both DFS [P=0.002; hazard ratio (HR) =1.32; 95% confidence interval (CI): 1.10–1.59] and OS (P=0.02; HR =1.28; 95% CI: 1.04–1.57) between non-skip pN2a and skip pN2a. Similarly, Figures 2D,3D reveal that significant differences existed in DFS (P=0.03; HR =1.29; 95% CI: 1.02–1.63) and OS (P=0.01; HR =1.40; 95% CI: 1.08–1.83) between non-skip pN2b and skip pN2b. In contrast, Figures 2G,3G show no significant differences in DFS (P=0.14; HR =1.14; 95% CI: 0.96–1.36) and OS (P=0.11; HR =1.18; 95% CI: 0.97–1.44) between pN1 and skip pN2a. However, patients with skip pN2b had significantly worse prognosis than those with pN1 (Figures S1,S2). Lastly, Figures 2J,3J indicate that there were similar survival in terms of DFS (P=0.74; HR =1.04; 95% CI: 0.83–1.31) and OS (P=0.74; HR =0.96; 95% CI: 0.73–1.25) between non-skip pN2a and skip pN2b. Figure 4 shows the forest plot of HR for DFS and OS of four pair of groups.
PSM and IPTW
After applying PSM and IPTW adjustments for age, BMI, sex, tumor location, smoking history, alcohol intake, extent of resection, MIS, adjuvant therapy, history of prior cancer, pT stage, and histological type, there were no statistically significant differences in covariate distributions between the pN1 and skip pN2a groups, skip pN2a and non-skip pN2a groups, skip pN2b and non-skip pN2b groups, or non-skip pN2a and skip pN2b groups (see Tables 2-5).
Figures 2B,2C,3B,3C demonstrate significant differences in DFS (P=0.01 after PSM, P=0.002 after IPTW) and OS (P=0.03 after PSM, P=0.008 after IPTW) between non-skip pN2a and skip pN2a. Similarly, Figures 2E,2F,3E,3F illustrate significant DFS (P=0.02 after PSM, P=0.03 after IPTW) and OS (P=0.003 after PSM, P=0.001 after IPTW) differences between non-skip pN2b and skip pN2b. In contrast, Figures 2I,2J,3I,3J indicate similarity in DFS (P=0.16 after PSM, P=0.25 after IPTW) or OS (P=0.07 after PSM, P=0.16 after IPTW) between pN1 and skip pN2a. Figures 2K,2L,3K,3L also show no significant DFS (P=0.16 after PSM, P=0.53 after IPTW) or OS (P=0.70 after PSM, P=0.30 after IPTW) differences between non-skip pN2a and skip pN2b.
Discussion
Lung cancer presents a tremendous challenge to public health, as the leading cause of cancer-related morbidity and mortality worldwide (1). Accurate pathological staging, particularly in assessing lymph node involvement, is essential for tailoring treatment strategies and refining prognostic accuracy. Since the publication of the 7th edition of the TNM staging system in 2007 (35), no substantial modifications were made to the nodal classification until the recent release of the 9th edition (37). The latest edition of the TNM staging system introduces a subdivision of N2 disease into N2a and N2b, reflecting the prognostic heterogeneity within N2 group (37). Beyond this subdivision, additional factors such as the LNR, total metastatic node count, the number of involved nodal stations, and skip metastasis have been shown to provide critical prognostic insights, with some proposed to complement or even replace the current N classification system (6-12). Among these factors, skip metastasis has been a subject of considerable debate since its initial description by Kirsh et al. (38). In our cohort, the incidence of skip metastasis was 34.1%, with a higher proportion observed in pN2a cases (41.2%) compared to pN2b cases (24.3%). This disparity suggests that skip metastasis may represent a less aggressive pattern of nodal dissemination, as evidenced by its predominance in pN2a over pN2b. Notably, the observed incidence of skip pN2 cases aligns with literature on anatomical studies on lymphatic drainage pathways (39), indicating that our findings were not overestimated by undetected pN1 metastases. This consistency supports the robustness of our methodology and reinforces our findings.
Skip N2 metastasis is generally associated with a better prognosis compared to non-skip N2 metastasis, a finding supported by multiple studies (22-26). This observation is often attributed to the opinion that the absence of N1 involvement may reflect a more localized lymphatic spread, potentially correlating with a less aggressive tumor phenotype. In contrast, other studies challenged this view, revealing no survival benefit-or even worse outcomes-in patients with skip metastasis (27,28), suggesting that the lack of N1 metastasis may arise from variations in lymphatic drainage patterns rather than intrinsic differences in tumor biology.
In this study, we evaluated the prognostic significance of skip metastasis in both pN2a and pN2b stages, with a particular focus on pN2b, which has been less thoroughly investigated in previous research. While earlier studies often treated N2b as a single entity when comparing it to other N2 subgroups (34,40-42), we further stratified pN2b into skip and non-skip categories. Our findings demonstrate significant differences in OS and DFS between these subgroups, consistent with the results of Legras et al. (25). Legras reported that patients with skip metastasis had superior outcomes compared to those with non-skip metastasis, with median survival times of 21 vs. 14 months, 5-year survival rates of 27.8% vs. 14.3%, and 10-year survival rates of 21.2% vs. 7%, respectively. On the other hand, Cheng et al. (43) found no statistically significant difference in survival outcome between skip (N2b2) and non-skip (N2b1) groups with multiple-station N2 disease. However, their data suggested a trend toward worse DFS in the non-skip pN2b group [N2b2 vs. N2b1, HR =1.54 (95% CI: 0.91–2.63); P=0.11], which may have failed to reach statistical significance due to the small sample size. In contrast, to address this limitation, we utilized a relatively large cohort of patients (including 126 skip pN2b and 393 non-skip pN2b) to investigate whether the survival advantage of skip metastasis persists in pN2b disease.
To bolster the reliability of our findings, we applied a multivariable Cox regression model to adjust for potential confounders and performed PSM and IPTW to balance covariate distributions in four pairs of subgroups. These included non-skip pN2a vs. skip pN2a, non-skip pN2b vs. skip pN2b, pN1 vs. skip pN2a, and non-skip pN2a vs. skip pN2b. Even after PSM and IPTW adjustments, skip pN2b and non-skip pN2b maintained significantly difference in prognosis (OS: P=0.003 after PSM, P=0.001 after IPTW; DFS: P=0.02 after PSM, P=0.03 after IPTW).
An intriguing finding of this study is that non-skip pN2a and skip pN2b appear to converge into one homogeneous group, as they exhibit a comparable prognosis (5-year OS: 67% vs. 65%, P=0.67; 5-year DFS: 48% vs. 42%, P=0.73). No significant prognostic difference was observed after PSM and IPTW analysis. This result provides compelling validation of Legras et al.’s findings (25). It is worth considering about whether these two subgroups should be combined in future TNM staging revisions.
A substantial body of literature has advocated that the prognosis of skip pN2 is similar to pN1 (44-47). However, our study provides a more nuanced perspective, indicating that this similarity is specific to skip pN2a, which demonstrates comparable outcomes to pN1 (pN1 vs. skip pN2a: P=0.13 for OS, P=0.15 for DFS). In contrast, skip pN2b shows significantly worse survival compared to pN1 (pN1 vs. skip pN2b: P=0.01 for OS, P<0.001 for DFS). This distinction may stem from the lymphatic drainage patterns of the tumor. N1 lymph nodes and certain N2 nodes that directly drain the pulmonary lymphatics surrounding the tumor, without passing through intrapulmonary or hilar lymph nodes, likely represent the first station of metastasis. These cases, including both pN1 and skip pN2a, may thus reflect early-stage metastatic disease. Conversely, non-skip pN2a involves mediastinal lymph nodes that have already bypassed intrapulmonary or hilar lymph nodes, suggesting a more advanced metastatic pattern with higher metastatic potential.
Additionally, non-skip cases intuitively exhibit higher LNR, a well-recognized indicator of tumor burden, compared to skip metastasis cases when the number of involved N2 stations is similar. This may also explain the poorer prognosis of non-skip pN2a. Correspondingly, non-skip pN2a and skip pN2b may represent later stages of disease progression, characterized by a more extensive lymphatic spread, which could account for their comparable prognoses. Thus, we hypothesize that the differing prognoses among pN1 and skip pN2a, non-skip pN2a and skip pN2b, and non-skip pN2b are attributed to sequential stages of tumor progression. However, further investigations are needed to confirm this hypothesis and clarify the underlying mechanisms.
Based on the improved survival outcomes observed in skip metastasis cases, several clinical implications should be considered. Firstly, it is worth evaluating whether the “skip” feature should be incorporated into the TNM staging system, analogous to the current classification of N2 lymph node involvement based on station count (N2a vs. N2b). In the 9th edition of the TNM staging system for lung cancer, certain N2 cases were reclassified due to significant prognostic differences among N2 subgroups. For example, T1N2aM0 was downstaged from IIIA to IIB, T2N2bM0 was upstaged from IIIA to IIIB, and T3N2aM0 was downstaged from IIIB to IIIA. Given the comparable prognosis of skip pN2a cases to pN1, it may be reasonable to propose further downstaging for these cases—for instance, T1N2a-skipM0 to IIA and T2N2a-skipM0 to IIB. Secondly, to achieve a more accurate prognosis assessment, adequate retrieval of N1 lymph nodes should be ensured, either through meticulous intraoperative dissection or by thoroughly examining the excised lung specimen.
A notable strength of this study lies in its robust methodology and comprehensive data analysis. First and foremost, this study features the largest cohort to date investigating the prognostic impact of skip metastasis. It confirms that skip pN2a shares a similar prognosis with pN1 and highlights that non-skip pN2a and skip pN2b form a homogeneous group in terms of survival. Second, we employed three complementary statistical approaches—multivariable Cox proportional hazards analysis, PSM, and IPTW—to validate prognostic differences between subgroups. Additionally, OS and DFS were utilized as primary endpoints, providing a comprehensive evaluation of the prognostic significance of the skip feature. This multifaceted approach not only mitigates potential confounding biases inherent in observational studies but also enhances the robustness and reliability of our findings. Moreover, our data were exclusively derived from patients who underwent systematic lymph node dissection, ensuring accurate N staging and minimizing the risk of underdiagnosed N1 lymph node involvement due to inadequate sampling.
However, several limitations should be acknowledged. Firstly, as a single-center, retrospective study, the generalizability of our findings to populations beyond Sun Yat-sen University Cancer Center cohort may be limited. Secondly, the long study period introduced variability in treatment protocols, reflecting advancements in surgical techniques, neoadjuvant and adjuvant therapies over time, which may have influenced survival outcomes. Thirdly, although our analytical methods accounted for a range of key measurable confounders, there may be potential impact of unmeasured factors on survival. Lastly, the study cohort excluded N1/N2 patients with neoadjuvant therapy, caution is warranted when applying these findings to all N1/N2 cases.
Future research should focus on overcoming these limitations by conducting multi-center, large-scale studies to confirm the prognostic value of skip metastasis across diverse populations. Additionally, exploring the underlying molecular mechanisms that drive distinct patterns of nodal dissemination is crucial to enhance our understanding of the biological basis of skip metastasis. Moreover, efforts to validate in preoperative staging and potentially integrate skip metastasis into overall staging systems could refine prognostic models and improve the stratification of NSCLC patients. Research on potential treatment implications of skip metastasis is warranted to optimize clinical outcomes in lung cancer patients.
Conclusions
Our findings reveal that skip metastasis is associated with a survival advantage in both groups of pN2a and pN2b NSCLC patients. Additionally, no significant survival differences were found between pN1 and skip pN2a, or between non-skip pN2a and skip pN2b, suggesting that skip metastasis may reflect lower tumor aggressiveness in NSCLC. These results provide compelling evidence to support the integration of skip metastasis into future TNM staging revisions, offering a more nuanced framework for prognostic assessment and paving the way for tailored therapeutic strategies in NSCLC management.
Acknowledgments
This article has been accepted for poster presentation in Europe Lung Cancer Congress 2025 in Paris, France.
Footnote
Reporting Checklist: The authors have completed the STROBE reporting checklist. Available at https://tlcr.amegroups.com/article/view/10.21037/tlcr-2025-272/rc
Data Sharing Statement: Available at https://tlcr.amegroups.com/article/view/10.21037/tlcr-2025-272/dss
Peer Review File: Available at https://tlcr.amegroups.com/article/view/10.21037/tlcr-2025-272/prf
Funding: None.
Conflicts of Interest: All authors have completed the ICMJE uniform disclosure form (available at https://tlcr.amegroups.com/article/view/10.21037/tlcr-2025-272/coif). The authors have no conflicts of interest to declare.
Ethical Statement: The authors are accountable for all aspects of the work in ensuring that questions related to the accuracy or integrity of any part of the work are appropriately investigated and resolved. The study was conducted in accordance with the Declaration of Helsinki and its subsequent amendments. The study was approved by the Ethics Committee of Sun Yat-sen University Cancer Center (No. B2020-255-Y02) and individual consent for this retrospective analysis was waived due to the retrospective design and the use of anonymized data.
Open Access Statement: This is an Open Access article distributed in accordance with the Creative Commons Attribution-NonCommercial-NoDerivs 4.0 International License (CC BY-NC-ND 4.0), which permits the non-commercial replication and distribution of the article with the strict proviso that no changes or edits are made and the original work is properly cited (including links to both the formal publication through the relevant DOI and the license). See: https://creativecommons.org/licenses/by-nc-nd/4.0/.
References
- Siegel RL, Giaquinto AN, Jemal A. Cancer statistics, 2024. CA Cancer J Clin 2024;74:12-49. [Crossref] [PubMed]
- Jeon DS, Kim HC, Kim SH, et al. Five-Year Overall Survival and Prognostic Factors in Patients with Lung Cancer: Results from the Korean Association of Lung Cancer Registry (KALC-R) 2015. Cancer Res Treat 2023;55:103-11. [Crossref] [PubMed]
- Rami-Porta R. Future Perspectives on the TNM Staging for Lung Cancer. Cancers (Basel) 2021;13:1940. [Crossref] [PubMed]
- Hendriks LEL, Remon J, Faivre-Finn C, et al. Non-small-cell lung cancer. Nat Rev Dis Primers 2024;10:71. [Crossref] [PubMed]
- Linares Díaz J, Edwards J, Deleu AL, et al. What Does N2 Lymph Node Involvement Mean for Patients with Non-Small Cell Lung Cancer (NSCLC)?-A Review of Implications for Diagnosis and Treatment. Cancers (Basel) 2024;16:2673. [Crossref] [PubMed]
- Yoo C, Yoon S, Lee DH, et al. Prognostic Significance of the Number of Metastatic pN2 Lymph Nodes in Stage IIIA-N2 Non-Small-Cell Lung Cancer After Curative Resection. Clin Lung Cancer 2015;16:e203-12. [Crossref] [PubMed]
- Samejima J, Ito H, Nagashima T, et al. Anatomical location and number of metastatic lymph nodes for prognosis of non-small cell lung cancer. J Thorac Dis 2021;13:4083-93. [Crossref] [PubMed]
- Maniwa T, Ohmura A, Hiroshima T, et al. Number of metastatic lymph nodes and zones as prognostic factors in non-small-cell lung cancer. Interact Cardiovasc Thorac Surg 2020;31:305-14. [Crossref] [PubMed]
- Wei S, Asamura H, Kawachi R, et al. Which is the better prognostic factor for resected non-small cell lung cancer: the number of metastatic lymph nodes or the currently used nodal stage classification? J Thorac Oncol 2011;6:310-8. [Crossref] [PubMed]
- Lee JG, Lee CY, Park IK, et al. The prognostic significance of multiple station N2 in patients with surgically resected stage IIIA N2 non-small cell lung cancer. J Korean Med Sci 2008;23:604-8. [Crossref] [PubMed]
- Kang CH, Ra YJ, Kim YT, et al. The impact of multiple metastatic nodal stations on survival in patients with resectable N1 and N2 nonsmall-cell lung cancer. Ann Thorac Surg 2008;86:1092-7. [Crossref] [PubMed]
- Kim S, Lee GD, Choi S, et al. Differences in the Prognostic Impact between Single-Zone and Multi-Zone N2 Node Metastasis in Patients with Station-Based Multiple N2 Non-Small Cell Lung Cancer. Cancer Res Treat 2025;57:95-104. [Crossref] [PubMed]
- Ito M, Yamashita Y, Tsutani Y, et al. Classifications of n2 non-small-cell lung cancer based on the number and rate of metastatic mediastinal lymph nodes. Clin Lung Cancer 2013;14:651-7. [Crossref] [PubMed]
- Wang CL, Li Y, Yue DS, et al. Value of the metastatic lymph node ratio for predicting the prognosis of non-small-cell lung cancer patients. World J Surg 2012;36:455-62. [Crossref] [PubMed]
- Chiappetta M, Leuzzi G, Sperduti I, et al. Lymph-node ratio predicts survival among the different stages of non-small-cell lung cancer: a multicentre analysis†. Eur J Cardiothorac Surg 2019;55:405-12. [Crossref] [PubMed]
- Wang S, Xie S, Han Y, et al. Role of skip N2 lymph node metastasis for patients with the stage III-N2 lung adenocarcinoma: a propensity score matching analysis. BMC Pulm Med 2023;23:147. [Crossref] [PubMed]
- Sakao Y, Miyamoto H, Yamazaki A, et al. Prognostic significance of metastasis to the highest mediastinal lymph node in nonsmall cell lung cancer. Ann Thorac Surg 2006;81:292-7. [Crossref] [PubMed]
- Marziali V, Frasca L, Ambrogi V, et al. Prognostic significance of uncertain resection for metastasis in the highest mediastinal lymph node after surgery for clinical N0 non-small cell lung cancer. Front Surg 2023;10:1115696. [Crossref] [PubMed]
- Iwasaki A, Shirakusa T, Miyoshi T, et al. Prognostic significance of subcarinal station in non-small cell lung cancer with T1-3 N2 disease. Thorac Cardiovasc Surg 2006;54:42-6. [Crossref] [PubMed]
- Qiang G, Liang C, Yu Q, et al. Risk factors for recurrence after complete resection of pathological stage N2 non-small cell lung cancer. Thorac Cancer 2015;6:166-71. [Crossref] [PubMed]
- Gorai A, Sakao Y, Kuroda H, et al. The clinicopathological features associated with skip N2 metastases in patients with clinical stage IA non-small-cell lung cancer. Eur J Cardiothorac Surg 2015;47:653-8. [Crossref] [PubMed]
- Yoshino I, Yokoyama H, Yano T, et al. Skip metastasis to the mediastinal lymph nodes in non-small cell lung cancer. Ann Thorac Surg 1996;62:1021-5. [Crossref] [PubMed]
- Sagawa M, Sakurada A, Fujimura S, et al. Five-year survivors with resected pN2 nonsmall cell lung carcinoma. Cancer 1999;85:864-8. [Crossref] [PubMed]
- Prenzel KL, Mönig SP, Sinning JM, et al. Role of skip metastasis to mediastinal lymph nodes in non-small cell lung cancer. J Surg Oncol 2003;82:256-60. [Crossref] [PubMed]
- Legras A, Mordant P, Arame A, et al. Long-term survival of patients with pN2 lung cancer according to the pattern of lymphatic spread. Ann Thorac Surg 2014;97:1156-62. [Crossref] [PubMed]
- Cheng N, Cai W, Ren S, et al. Long non-coding RNA UCA1 induces non-T790M acquired resistance to EGFR-TKIs by activating the AKT/mTOR pathway in EGFR-mutant non-small cell lung cancer. Oncotarget 2015;6:23582-93. [Crossref] [PubMed]
- Benoit L, Anusca A, Ortega-Deballon P, et al. Analysis of risk factors for skip lymphatic metastasis and their prognostic value in operated N2 non-small-cell lung carcinoma. Eur J Surg Oncol 2006;32:583-7. [Crossref] [PubMed]
- Ilic N, Petricevic A, Arar D, et al. Skip mediastinal nodal metastases in the IIIa/N2 non-small cell lung cancer. J Thorac Oncol 2007;2:1018-21. [Crossref] [PubMed]
- Takamochi K, Oh S, Suzuki K. Prognostic evaluation of nodal staging based on the new IASLC lymph node map for lung cancer. Thorac Cardiovasc Surg 2010;58:345-9. [Crossref] [PubMed]
- Wang Z, Cheng J, Huang W, et al. Skip metastasis in mediastinal lymph node is a favorable prognostic factor in N2 lung cancer patients: a meta-analysis. Ann Transl Med 2021;9:218. [Crossref] [PubMed]
- Yang Z, Heng Y, Zhao Q, et al. The proposed modification of TNM staging and therapeutic strategy for skip metastasis in papillary thyroid carcinoma: A multicenter retrospective cohort study. Cancer Med 2023;12:13270-8. [Crossref] [PubMed]
- Tsitsias T, Okiror L, Veres L, et al. New N1/N2 classification and lobe specific lymphatic drainage: Impact on survival in patients with non-small cell lung cancer treated with surgery. Lung Cancer 2021;151:84-90. [Crossref] [PubMed]
- Huang J, Osarogiagbon RU, Giroux DJ, et al. The International Association for the Study of Lung Cancer Staging Project for Lung Cancer: Proposals for the Revision of the N Descriptors in the Forthcoming Ninth Edition of the TNM Classification for Lung Cancer. J Thorac Oncol 2024;19:766-85.
- Song H, Yoon SH, Kim J, et al. Application of N Descriptors Proposed by the International Association for the Study of Lung Cancer in Clinical Staging. Radiology 2021;300:450-7. [Crossref] [PubMed]
- Asamura H, Nishimura KK, Giroux DJ, et al. IASLC Lung Cancer Staging Project: The New Database to Inform Revisions in the Ninth Edition of the TNM Classification of Lung Cancer. J Thorac Oncol 2023;18:564-75.
- Rusch VW, Asamura H, Watanabe H, et al. The IASLC lung cancer staging project: a proposal for a new international lymph node map in the forthcoming seventh edition of the TNM classification for lung cancer. J Thorac Oncol 2009;4:568-77.
- Rami-Porta R, Nishimura KK, Giroux DJ, et al. The International Association for the Study of Lung Cancer Lung Cancer Staging Project: Proposals for Revision of the TNM Stage Groups in the Forthcoming (Ninth) Edition of the TNM Classification for Lung Cancer. J Thorac Oncol 2024;19:1007-27. [Crossref] [PubMed]
- Kirsh MM, Kahn DR, Gago O, et al. Treatment of bronchogenic carcinoma with mediastinal metastases. Ann Thorac Surg 1971;12:11-21. [Crossref] [PubMed]
- Riquet M, Hidden G, Debesse B. Direct lymphatic drainage of lung segments to the mediastinal nodes. An anatomic study on 260 adults. J Thorac Cardiovasc Surg 1989;97:623-32.
- Park BJ, Kim TH, Shin S, et al. Recommended Change in the N Descriptor Proposed by the International Association for the Study of Lung Cancer: A Validation Study. J Thorac Oncol 2019;14:1962-9. [Crossref] [PubMed]
- Kim H, Ahn YC, Pyo H, et al. Do New pN Subclassifications Proposed by IASLC's Lung Cancer Staging Project Agree with ypN Categories after Trimodality Therapy for Initial N2 Disease? J Thorac Oncol 2016;11:2202-7. [Crossref] [PubMed]
- Asamura H, Chansky K, Crowley J, et al. The International Association for the Study of Lung Cancer Lung Cancer Staging Project: Proposals for the Revision of the N Descriptors in the Forthcoming 8th Edition of the TNM Classification for Lung Cancer. J Thorac Oncol 2015;10:1675-84.
- Cheng Z, Wang C, Ju S, et al. Correlation between Characteristics of Lymph Node Metastasis and Prognosis of N1-N2 Stage Non-small Cell Lung Cancer. Clin Surg 2022;7:3494.
- Wang L, Ye G, Xue L, et al. Skip N2 Metastasis in Pulmonary Adenocarcinoma: Good Prognosis Similar to N1 Disease. Clin Lung Cancer 2020;21:e423-34. [Crossref] [PubMed]
- Zhang J, Liu L, Wang G, et al. Skip N2 Metastasis Shows Similar Prognosis to N1 Disease in Lung Cancer: Mechanism Discussion. Clin Lung Cancer 2021;22:e139-40. [Crossref] [PubMed]
- Zhao J, Li J, Li N, et al. Clinical significance of skipping mediastinal lymph node metastasis in N2 non-small cell lung cancer. J Thorac Dis 2018;10:1683-8. [Crossref] [PubMed]
- Taylor M, Soliman N, Paoletti E, et al. Impact of skip mediastinal lymph node metastasis on outcomes after resection for primary lung cancer. Lung Cancer 2023;184:107341. [Crossref] [PubMed]


