A preliminary analysis of integrating thymosin α1 into concurrent chemoradiotherapy and consolidative immunotherapy in unresectable locally advanced non-small cell lung cancer
Highlight box
Key findings
• Long-term thymosin α1 (Tα1) integration with concurrent chemoradiotherapy (CCRT) and consolidative immunotherapy significantly improved survival in unresectable locally advanced non-small cell lung cancer (LA-NSCLC).
• Tα1 enhanced eligibility for consolidative immunotherapy by reducing grade ≥2 pneumonitis and accelerating lymphocyte recovery.
• Long-term Tα1 suppressed pro-inflammatory interleukin-6 (IL-6) post-CCRT.
What is known and what is new?
• CCRT followed by immunotherapy is standard for LA-NSCLC, but pneumonitis and lymphopenia limit immunotherapy eligibility. Preclinical data suggest Tα1 has immunomodulatory properties.
• This is the first clinical study demonstrating that prolonged Tα1 use synergizes with CCRT/immunotherapy, improving survival and reducing toxicity. It establishes Tα1’s role in preserving synergistic effect during multimodal therapy.
What is the implication, and what should change now?
• Tα1 should be considered an adjunct to CCRT and consolidative immunotherapy to enhance treatment completion and survival.
• Prospective randomized trials are urgently needed to validate these findings and define optimal Tα1 duration.
Introduction
Non-small cell lung cancer (NSCLC) remains a considerable health challenge worldwide (1), particularly in advanced stages where curative surgical resection is not feasible. The current treatment protocol for unresectable locally advanced NSCLC (LA-NSCLC) involves concurrent chemoradiotherapy (CCRT) followed by consolidative immune checkpoint inhibitors (ICIs), the median progression-free survival (PFS) of which was 16.8 months [95% confidence interval (CI): 13.0 to 18.1] (2). However, there is still a pressing need for novel strategies to further enhance treatment efficacy and improve patient outcomes. There are currently several issues in clinical practice that affect patient survival. The first one is the treatment-related pneumonitis. The occurrence of radiation pneumonitis after CCRT precludes the subsequent consolidative immunotherapy. Meanwhile, the PACIFIC study showed that pneumonitis was the most common adverse event of consolidative immunotherapy (2). In the real world, the cessation rate after entering consolidative therapy is higher than that in clinical trials, reaching 57% (3). Secondly, radiation-induced lymphopenia has been proven as a detrimental factor for patient outcomes (4,5). A study reviewed the clinical outcomes of 309 NSCLC patients treated by CCRT or CCRT + durvalumab, and found that severe radiation-induced lymphopenia attenuated the efficacy of consolidative durvalumab after CCRT (6). Thirdly, tumors lacking lymphocyte infiltration, known as “cold” tumors, exhibit unsatisfactory responsiveness to immunotherapy (7,8). Strategies aimed at promoting immune infiltration and activation within “cold” tumors may render them more responsive to immunotherapy.
Thymosin α1 (Tα1) is an immunomodulatory polypeptide composed of 28 amino acids, which was originally isolated from thymic tissue and has gained extensive application in the treatment of viral infections, immune deficiencies, and notably cancer (9). Tα1 triggers both innate and acquired immune responses, and it regulates immune cells differently in various disease states. The pleiotropic effects of Tα1 on immune cells rely on the activation of Toll-like receptors and the downstream signaling pathways across diverse immune microenvironments (10). Given the pleiotropic effect of Tα1 and the encouraging outcomes from preclinical investigations, Tα1 emerges as a potentially advantageous immunomodulatory agent. It holds promise in augmenting therapeutic efficacy while mitigating treatment-related adverse events to develop novel cancer therapies.
Tα1 is commonly administered in lung cancer patients due to its immunomodulatory properties, which help prevent infections and improve their overall quality of life (11). Clinical trials have proven that combining the administration of Tα1 with radiotherapy, chemotherapy, CCRT, targeted therapy, or as an adjuvant therapy following surgery can significantly boost the clinical efficacy and improve survival (12). In a large clinical randomized controlled trials, combining Tα1 with chemotherapy significantly increased the objective response rate by 28%, disease control rate by 10%, quality of life over 100%, 1-year overall survival (OS) rate [1.43 (95% CI: 1.15–1.78)], and decreased the risks associated with thrombocytopenia, neutropenia, and gastrointestinal adverse reactions (11). Our previous study found that the administration of Tα1 could significantly reduce the incidence of G2–3 radiation-induced pneumonitis and mitigate the severity of CCRT related lymphopenia, which might bring more opportunities of further consolidative ICIs to NSCLC patients following CCRT (13). A research involving patients with metastatic melanoma treated by Tα1 uncovered that those who concurrently received the cytotoxic T-lymphocyte-associated protein 4 (CTLA-4) ICI ipilimumab demonstrated a favorable OS rate, suggesting ICIs and Tα1 work in concert (14).
Overall, these findings support the concept that Tα1 may serve as an adjuvant to standard anti-cancer therapy, thereby improving anti-tumor effects. Specifically, they provide valuable insights into the potential of incorporating Tα1, CCRT and immunotherapy into the treatment regimens for NSCLC. However, the pleiotropic nature of Tα1 necessitates careful consideration of its interactions with other agents to optimize therapeutic outcomes. Therefore, we aimed to investigate the efficacy of integrating Tα1 into CCRT and consolidative immunotherapy for patients with unresectable LA-NSCLC in this study. We further analyzed the changes of cytokines and subgroups of lymphocytes during the combination of Tα1 and consolidation immunotherapy. We present this article in accordance with the STROBE reporting checklist (available at https://tlcr.amegroups.com/article/view/10.21037/tlcr-2025-190/rc).
Methods
Patient population and classification
Patients diagnosed with LA-NSCLC and treated by definitive CCRT with or without consolidative nivolumab from December 2019 to May 2023 in our center were included in the current analyses. This study was conducted in accordance with the Declaration of Helsinki and its subsequent amendments. The study was approved by the institutional review board of Sun Yat sen University Cancer Center (No. B2019-086), and informed consent was taken from all the patients.
All eligible patients met the inclusion criteria: (I) histologically confirmed NSCLC by bronchoscopy, endobronchial ultrasonography, and computed tomography (CT)-guided biopsy; (II) unresectable stage IIIA-IIIC disease based on the 8th edition of the Union for International Cancer Control/American Joint Committee on Cancer (UICC/AJCC) staging system; (III) aged between 18 and 75 years; (IV) Eastern Cooperative Oncology Group (ECOG) performance status score of 0 to 1; (V) receipt of definitive CCRT with or without consolidative nivolumab; (VI) detailed information on the use of Tα1.
According to the use of Tα1, patients were classified into 3 groups: non-Tα1 group, patients who did not receive Tα1; short-term Tα1 group, patients who received Tα1 (1.6 mg) injection subcutaneously once a week from the start of treatment till the end of CCRT; and long-term Tα1 group, patients who received Tα1 (1.6 mg) injection subcutaneously once a week from the start of treatment till 12 months post-CCRT.
Treatments
Radiotherapy
Patients were immobilized and simulated in accordance with our institutional standard (15). Gross tumor volume (GTV) was defined as the visible primary tumor and positive lymph nodes on CT or positron emission tomography (PET) scans. An internal gross tumor volume (IGTV) was delineated based on the maximum intensity projection images of the 4-dimensional CT scan, and adjusted on images of ten breathing phases. Clinical tumor volume (CTV) involved the IGTV plus an isotropic margin of 5 mm and involved lymph node regions. The planning target volume (PTV) was created by an isotropic expansion of 5 mm. Intensity modulated radiation therapy (IMRT) technique was used to deliver a definitive dose of 60–64 Gy to PTV.
Concurrent chemotherapy
Weekly docetaxel (25 mg/m2) and cisplatin (25 mg/m2) or nedaplatin (25 mg/m2) was given concurrently with radiotherapy.
Consolidative immunotherapy
Consolidative nivolumab was administered for some of the included patients with no disease progression, no unresolved ≥ G3 toxicities or ≥ G2 pneumonitis within 2 months after CCRT. Consolidative nivolumab commenced at 2 months after the end of CCRT. It was administered every three weeks for up to 12 months, and discontinued if there was confirmed disease progression, unacceptable toxicities, patient refusal or physician’s request.
Follow-up
Patients were followed up weekly during CCRT, every 3 weeks during consolidative nivolumab, every 3 months in years 1 and 2, and then every 6 months. Medical history, data on physical examination and laboratory tests were recorded at each follow-up. CT scan of the chest and upper abdomen was conducted 1–2 months after the end of CCRT, every 3 months in the first and second years, and then every 6 months. Patients underwent brain magnetic resonance imaging (MRI), bone scan and/or PET/CT when suspected of disease progression.
Data collection
Baseline and disease data, including age, sex, ECOG performance score, smoking history, histology, tumor, node, metastasis (TNM) staging, EGFR mutation status, were collected. Blood absolute lymphocyte count (ALC) and circulating interleukin-6 (IL-6) levels were collected at baseline, mid-CCRT, at 2, 6, 9, 12 and 15 months post-CCRT.
Objectives
The primary objective was PFS. Secondary objectives included OS, pneumonitis, circulating lymphocyte count and IL-6 levels. Tumor response was evaluated based on RECIST 1.1 at 1 to 2 months after CCRT, and then every 3 months until the end of treatment. PFS was determined from treatment initiation until disease progression, or death from any cause or last follow-up. OS was defined as the time from treatment initiation to death from any cause or last follow-up. Follow-up time was defined from the start of treatment to the last follow-up. Pneumonitis was collected from the beginning of CCRT till 15 months after CCRT, and graded based on CTCAE version 5.0.
Statistical analysis
Baseline demographic and disease data were reported as medians and interquartile range (IQR) for continuous variables, and as proportions for categorical variables. Continuous variables were compared by the Wilcoxon rank sum test and Kruskal-Wallis test, between two groups and among multiple groups. Categorical variables were compared by the Chi-square test. PFS and OS were analyzed by the Kaplan-Meier method. Differences between groups were tested with a log-rank test. Hazard ratio (HR) and 95% CI were calculated using an unstratified Cox regression model. PFS and OS rates at different timepoints were estimated by Kaplan-Meier method and the 95% CI were calculated using the Brookmeyer-Crowley method. Cox regression model was used to identify potential factors predictive of PFS and OS. The odds ratio (OR) and its 95% CI were calculated. All analyses were unadjusted, performed with SPSS version 26.0 (IBM Corp., Armonk, NY, USA). Two-tailed P<0.05 was considered statistically significant.
Results
Patients
A total of 196 LA-NSCLC patients were analyzed in current study, including 48 patients in the non-Tα1 group, 101 patients in short-term Tα1 group, and 47 patients in long-term Tα1 group (Figure 1). The baseline demographic data and disease characteristics are summarized in Table 1. In all, the median age was 59.5 years. The majority were male (85.2%), with an ECOG performance score of 0 (59.2%) and 133 patients with a smoking history (67.9%). There were 102 cases (52.0%) of squamous cell carcinoma, 84 cases (42.9%) of adenocarcinoma, and the remaining 10 cases (5.1%) of other pathological types of NSCLC. EGFR sensitive mutation was documented in 17 (8.7%) patients. Notably, all of the baseline characteristics were comparable among the 3 groups.
Table 1
| Baseline characteristics | All (N=196) | Non-Tα1 group (N=48) |
Short-term Tα1 group (N=101) |
Long-term Tα1 group (N=47) |
P value |
|---|---|---|---|---|---|
| Age, years | |||||
| Median (IQR) | 59.5 (54–65) | 62.5 (56–66) | 58 (54–65) | 58 (53–67) | 0.12 |
| Gender, n (%) | 0.14 | ||||
| Male | 167 (85.2) | 41 (85.4) | 90 (89.1) | 36 (76.6) | |
| Female | 29 (14.8) | 7 (14.6) | 11 (10.9) | 11 (23.4) | |
| ECOG, n (%) | 0.13 | ||||
| 0 | 116 (59.2) | 23 (47.9) | 61 (60.4) | 32 (68.1) | |
| 1 | 80 (40.8) | 25 (52.1) | 40 (39.6) | 15 (31.9) | |
| Smoking history, n (%) | 0.14 | ||||
| Non-smoker | 63 (32.1) | 10 (20.8) | 35 (34.7) | 18 (38.3) | |
| Smoker | 133 (67.9) | 38 (79.2) | 66 (65.3) | 29 (61.7) | |
| Smoking index | |||||
| Mean (SE) | 641.8 (47.7) | 732.2 (93.0) | 641.5 (70.4) | 547.7 (86.7) | 0.42 |
| T stage, n (%) | 0.28 | ||||
| T1 | 12 (6.1) | 1 (2.1) | 7 (6.9) | 4 (8.5) | |
| T2 | 60 (30.6) | 15 (31.3) | 27 (26.7) | 18 (38.3) | |
| T3 | 79 (40.3) | 22 (45.8) | 38 (37.6) | 19 (40.4) | |
| T4 | 45 (23.0) | 10 (20.8) | 29 (28.7) | 6 (12.8) | |
| N stage, n (%) | 0.22 | ||||
| N0 | 1 (0.5) | 0 | 1 (1.0) | 0 | |
| N1 | 9 (4.6) | 3 (6.3) | 4 (4.0) | 2 (4.3) | |
| N2 | 81 (41.3) | 27 (56.3) | 36 (35.6) | 18 (38.3) | |
| N3 | 105 (53.6) | 18 (37.5) | 60 (59.4) | 27 (57.4) | |
| cTNM stage, n (%) | 0.11 | ||||
| IIIA | 37 (18.9) | 13 (27.1) | 17 (16.8) | 7 (14.9) | |
| IIIB | 99 (50.5) | 23 (47.9) | 46 (45.5) | 30 (63.8) | |
| IIIC | 60 (30.6) | 12 (25.0) | 38 (37.6) | 10 (21.3) | |
| Histology, n (%) | 0.31 | ||||
| Squamous | 102 (52.0) | 29 (60.4) | 50 (49.5) | 23 (48.9) | |
| Non-squamous | 84 (42.9) | 15 (31.3) | 46 (45.5) | 23 (48.9) | |
| NOS | 10 (5.1) | 4 (8.3) | 5 (5.0) | 1 (2.1) | |
| EGFR status, n (%) | 0.78 | ||||
| Wild | 179 (91.3) | 43 (89.6) | 92 (91.1) | 44 (93.6) | |
| Mutant | 17 (8.7) | 5 (10.4) | 9 (8.9) | 3 (6.4) | |
| Baseline lymphocyte count (k/μL) | |||||
| Median (IQR) | 1.72 (1.35–2.12) | 1.52 (1.28–2.08) | 1.81 (1.39–2.12) | 1.65 (1.39–2.08) | 0.35 |
| Baseline IL-6 (pg/mL) | |||||
| Median (IQR) | 7.1 (2.7–16.0) | 6.7 (3.2–17.5) | 7.4 (3.0–18.2) | 7.5 (0–12.7) | 0.53 |
| Treatment details | |||||
| RT doses, Gy, median (IQR) | 60 (60–64) | 60 (55–60) | 60 (60–64) | 60 (60–64) | 0.89 |
| CCRT completion, n (%) | 189 (96.4) | 46 (95.8) | 96 (95.0) | 47 (100) | 0.31 |
| cICI eligibility, n (%) | 157 (80.1) | 37 (77.1) | 76 (75.2) | 44 (93.6) | 0.03 |
| Infusions of consolidative nivolumab, median (range) | 5 (1–15) | 2 (1–9) | 6 (1–14) | 5 (1–15) | 0.01 |
CCRT, concurrent chemoradiotherapy; cICI, consolidative immunotherapy; cTNM, clinical tumor, node, metastasis; ECOG, Eastern Cooperative Oncology Group; IL, interleukin; IQR, interquartile range; NOS, not otherwise specified; RT, radiotherapy; SE, standard error; Tα1, thymosin α.
Treatment
Treatment details of 196 patients are shown in Figure 1 and Table 1. One hundred and eighty-nine patients completed CCRT. Seven patients discontinued CCRT due to pneumonitis (n=4), distant metastasis (n=2) or skin toxicity (n=1). The median radiation dose was 60 Gy (IQR, 60–64 Gy). Following CCRT, 37 (77.1%), 76 (75.2%) and 44 (93.6%) patients were eligible for consolidative nivolumab, respectively, in the non-Tα1 group, short-term Tα1 group and long-term Tα1 group (P=0.03). The reasons for ineligibility mainly included G2+ pneumonitis and disease progression (detailed in Figure 1). Of the 157 patients who were eligible for consolidative nivolumab, 78 patients received consolidative nivolumab and 79 patients continued follow-up without receiving consolidative therapy. There were 39 patients (50.0%) who discontinued nivolumab due to toxicity (21, 26.9%), disease progression or death (14, 17.9%), patient refusal (2, 2.6%), or physician request (2, 2.6%). The median number of nivolumab infusions was 2 (range, 1–9), 6 (range, 1–14) and 5 (range, 1–15), respectively, in three groups (P=0.01).
Tumor response and survival
After CCRT, 138 patients achieved partial response (PR) and 57 patients remained stable disease (SD), with an overall response rate of 99.5% (195/196).
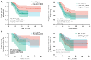
The median follow-up time was 22.7 (range, 6.0–58.0) months for all patients. One hundred and twenty-three patients had disease progression or died. The median PFS was 16.9 (95% CI: 13.1–20.6) months for all, with a 1-year and 2-year PFS rates of 70.8% (95% CI: 64.7–77.5%) and 41.8% (95% CI: 35.4–49.5%), respectively. In the non-Tα1 group, short-term Tα1 group and long-term Tα1 group, the median PFS was 14.6 (95% CI: 11.9–17.3), 16.0 (95% CI: 13.2–18.8) months, and not reached. The 1-year PFS rate was 68.7% (95% CI: 56.8–83.2%), 65.2% (95% CI: 56.5–75.2%), and 87.2% (95% CI: 78.2–97.3%) [short-term Tα1 vs. non-Tα1: HR =0.994 (95% CI: 0.646–1.530), P=0.98; long-term Tα1 vs. non-Tα1: HR =0.544 (95% CI: 0.315–0.939), P=0.03; long-term Tα1 vs. short-term Tα1: HR =0.547 (95% CI: 0.341–0.877), P=0.01; overall P=0.03].
Ninety-seven patients died at the last follow-up. The median OS was not reached, and the estimated median OS was 35.2 (95% CI: 25.3–45.0) months for all, with a 1-year and 2-year OS rates of 85.7% (95% CI: 80.9–90.7%) and 56.2% (95% CI: 49.6–63.7%), respectively. In the non-Tα1 group, short-term Tα1 group and long-term Tα1 group, the median OS was 20.0 (95% CI: 16.1–23.9), 27.6 (95% CI: 13.8–41.3) months, and not reached. The 1-year OS rate was 81.2% (95% CI: 70.9–93.1%), 84.1% (95% CI: 77.2–91.5%), and 93.6% (95% CI: 86.9–100%) [short-term Tα1 vs. non-Tα1: HR =0.864 (95% CI: 0.533–1.403), P=0.56; long-term Tα1 vs. non-Tα1: HR =0.402 (95% CI: 0.209–0.773), P=0.01; long-term Tα1 vs. short-term Tα1: HR =0.465 (95% CI: 0.263–0.821), P=0.01; overall P=0.01] (Figure 2A).
For those 78 patients who received consolidative nivolumab, both median PFS and median OS were not reached. In the non-Tα1 group, short-term Tα1 group and long-term Tα1 group, the median PFS was 17.6 (95% CI: 13.2–22.0) months, not reached, and not reached. The 1-year PFS rate was 80.0% (95% CI: 62.1–100%), 91.3% (95% CI: 82.4–100%), and 89.3% (95% CI: 78.5–100%) [short-term Tα1 vs. non-Tα1: HR =0.479 (95% CI: 0.198–1.161), P=0.10; long-term Tα1 vs. non-Tα1: HR =0.593 (95% CI: 0.241–1.460), P=0.26; long-term Tα1 vs. short-term Tα1: HR =1.237 (95% CI: 0.571–2.683), P=0.59; overall P=0.26]. The median OS of three groups was not reached. The 1-year OS rate was 80.0% (95% CI: 62.1–100%), 94.3% (95% CI: 86.9–100%), and 96.4% (95% CI: 89.8–100%) [short-term Tα1 vs. non-Tα1: HR =0.522 (95% CI: 0.205–1.330), P=0.17; long-term Tα1 vs. non-Tα1: HR =0.340 (95% CI: 0.117–0.992), P=0.048; long-term Tα1 vs. short-term Tα1: HR =0.651 (95% CI: 0.263–1.615), P=0.36; overall P=0.14] (Figure 2B).
Treatment-related toxicities
Treatment-related adverse events are shown in Table 2. The most common ≥G3 hematological toxicity was lymphopenia (118/196, 60.2%), followed by neutropenia (26/196, 13.3%). The most frequent nonhematologic toxicity was radiation induced cough, followed by pneumonitis. Summary of treatment-related pneumonitis are shown in Table 3. All G2 and above pneumonitis were reported in 49 (25.0%) patients, including 1 case of G5 pneumonitis in the non-Tα1 group. The incidence of ≥G2 pneumonitis was significantly different between non-Tα1 and long-term Tα1 groups (35.4% vs. 14.5%, P=0.02). In three groups, 9 (18.8%), 10 (9.9%), and 2 (4.3%) patients had radiation pneumonitis, respectively. Compared to the non-Tα1 group with short + long-term Tα1 groups, the incidence of ≥G2 radiation pneumonitis was significantly different (18.8% vs. 8.1%, P=0.04).
Table 2
| Toxicities | Grade, n (%) | ||||
|---|---|---|---|---|---|
| G0–1 | G2 | G3 | G4 | G5 | |
| Hematologic | |||||
| Anemia | 140 (71.4) | 53 (27.0) | 3 (1.5) | 0 | 0 |
| Leukopenia | 146 (74.5) | 31 (15.8) | 10 (5.1) | 9 (4.6) | 0 |
| Neutropenia | 147 (75.0) | 23 (11.7) | 10 (5.1) | 16 (8.2) | 0 |
| Lymphopenia | 12 (6.1) | 66 (33.7) | 104 (53.1) | 14 (7.1) | 0 |
| Thrombocytopenia | 180 (91.8) | 7 (3.6) | 8 (4.1) | 1 (0.5) | 0 |
| Pulmonary | |||||
| Cough | 134 (68.4) | 56 (28.6) | 6 (3.0) | 0 | 0 |
| Dyspnea | 181 (88.3) | 11 (7.8) | 4 (2.6) | 0 | 0 |
| Hemoptysis | 193 (98.5) | 1 (0.5) | 0 | 0 | 2 (1.0) |
| Pneumonitis | 147 (75) | 39 (19.9) | 8 (4.1) | 1 (0.5) | 1 (0.5) |
| Tracheobronchitis | 171 (87.2) | 17 (8.7) | 8 (4.1) | 0 | 0 |
| Tracheobronchial stenosis | 184 (93.9) | 6 (3.1) | 6 (3.1) | 0 | 0 |
| Atelectasis | 195 (99.5) | 1 (0.5) | 0 | 0 | 0 |
| Pulmonary fibrosis | 196 (100) | 0 | 0 | 0 | 0 |
| Gastrointestinal | |||||
| Diarrhea | 176 (89.8) | 11 (5.6) | 9 (4.6) | 0 | 0 |
| Loss of appetite | 173 (88.3) | 22 (11.2) | 1 (0.5) | 0 | 0 |
| Nausea | 193 (98.5) | 2 (1.0) | 1 (0.5) | 0 | 0 |
| Vomiting | 191 (97.4) | 3 (1.5) | 2 (1.0) | 0 | 0 |
| Esophagitis | 173 (88.3) | 23 (11.7) | 0 | 0 | 0 |
| Hepatocyte dysfunction (elevated liver enzymes) | 186 (94.9) | 6 (3.1) | 4 (2.0) | 0 | 0 |
| Cardiac | |||||
| Arrhythmia | 195 (99.5) | 1 (0.5) | 0 | 0 | 0 |
| Myocarditis | 196 (100) | 0 | 0 | 0 | 0 |
| Myocardial ischemia | 196 (100) | 0 | 0 | 0 | 0 |
| General | |||||
| Hyponatremia | 185 (94.4) | 0 | 9 (4.6) | 2 (1.0) | 0 |
| Hypothyroidism | 191 (97.4) | 5 (2.6) | 0 | 0 | 0 |
| Dermatitis | 189 (96.4) | 6 (3.1) | 0 | 1 (0.5) | 0 |
| Fever | 187 (95.4) | 6 (3.1) | 3 (1.5) | 0 | 0 |
| Fatigue | 195 (99.5) | 0 | 1 (0.5) | 0 | 0 |
Table 3
| Parameter | Non-Tα1 group (N=48) | Short-term Tα1 group (N=101) | Long-term Tα1 group (N=47) | P value |
|---|---|---|---|---|
| All pneumonitis | 0.02 (non-Tα1 vs. long-term Tα1) |
|||
| G0–1 | 31 (64.6%) | 76 (75.2%) | 40 (85.1%) | |
| G2–4 | 16 (33.3%) | 25 (24.8%) | 7 (14.9%) | |
| G5 | 1 (2.1%) | 0 | 0 | |
| Radiation pneumonitis | 0.04 (non-Tα1 vs. short + long-Tα1) |
|||
| G0–1 | 39 (81.2%) | 91 (90.1%) | 45 (95.7%) | |
| G2 | 6 (12.5%) | 7 (6.9%) | 2 (4.3%) | |
| G3 | 3 (6.3%) | 3 (3.0%) | 0 | |
Tα1, thymosin α.
The dynamic change of blood ALC and IL-6
The dynamic changes of ALC and incidence of lymphopenia are shown in Figure 3A. ALC decreased during the CCRT treatment, and gradually restored within 15 months after CCRT, with median values of 1.72, 0.81, 0.93, 1.21, 1.26, 1.33 and 1.48 k/µL at baseline, mid-CCRT, at 2, 6, 9, 12 and 15 months post-CCRT, respectively. The median ALC at nadir was 0.72 k/µL (IQR, 0.53–0.90 k/µL). There were 70.9%, 53.1%, 23.5%, 12.8%, 9.7% and 4.1% of patients suffering from lymphopenia at mid-CCRT, 2, 6, 9, 12 and 15 months from CCRT, respectively.
Compared among the three groups, the incidences of G1+ lymphopenia at 6 months post-CCRT (55.8% vs. 30.9% vs. 22.5%, P=0.01) were significantly different (Table S1). In the non-Tα1 group, short-term Tα1 group and long-term Tα1 group, the median ALC at 6 months post-CCRT were 0.96, 1.21, 1.36 k/µL (short-term Tα1 group vs. non-Tα1 group: P=0.02 long-term Tα1 group vs. non-Tα1 group: P=0.01); the median ALC at 9 months post-CCRT were 1.01, 1.21, 1.41 k/µL (long-term Tα1 group vs. non-Tα1 group: P=0.04); and the median ALC at 12 months post-CCRT were 1.15, 1.36, 1.51 k/µL (short-term Tα1 group vs. non-Tα1 group: P=0.04; long-term Tα1 group vs. non-Tα1 group: P=0.02) (Figure 3A).
IL-6 was stable during CCRT but increased after CCRT (Figure 3B). The median values of IL-6 were 7.16, 4.13, 6.47, 6.38, 5.98 and 4.02 pg/mL at baseline, mid-CCRT, at 2, 6, 9 and 12 months from CCRT, respectively. At 2 months post-CCRT, the median IL-6 in the non-Tα1 group was significantly higher than that in the long-Tα1 group (8.14 vs. 4.92 pg/mL, P=0.03) (Figure 3B).
Discussion
The synergistic integration of Tα1 with CCRT and consolidative immunotherapy demonstrated promising clinical benefits in LA-NSCLC, particularly with prolonged Tα1 administration. Patients receiving long-term Tα1 exhibited superior survival outcomes, with both median PFS and OS remaining unreached compared to shorter-term and non-Tα1 cohorts, suggesting sustained therapeutic efficacy. Importantly, extended Tα1 use was associated with a marked reduction in treatment-related toxicities, including progressively lower rates of severe pneumonitis and delayed lymphopenia, which may reflect its immunomodulatory role in mitigating inflammatory sequelae. The observed decline in post-CCRT IL-6 levels in long-term Tα1 patients further underscores its potential to attenuate pro-inflammatory pathways, a mechanism that could synergize with immunotherapy to enhance both safety and efficacy. These findings collectively highlight Tα1’s dual role in amplifying therapeutic response while preserving immune resilience, positioning it as a valuable adjunct in multimodal NSCLC regimens. Further investigation into its mechanisms and optimal duration is warranted to refine its clinical application.
The PACIFIC trial reported a median PFS of 16.8 months with durvalumab consolidation after CCRT in unresectable stage III NSCLC (2). However, real-world evidence suggests only a minority of patients (approximately 16.2–56.0%) ultimately receive consolidative immunotherapy (16-19), primarily due to radiation-related pneumonitis—a complication that also drives high rates of treatment discontinuation. Recent efforts to intensify immunotherapy by initiating it during CCRT, such as in the PACIFIC-2 and CheckMate 73L trials, failed to meet primary efficacy endpoints due to heightened toxicity, underscoring the urgency of mitigating treatment-related pneumonitis to optimize therapeutic delivery (20,21). In this context, our findings propose that adjunctive Tα1 therapy during CCRT and consolidation may confer survival benefits by reducing treatment-limiting toxicities, particularly pneumonitis and lymphopenia, thereby enabling prolonged immunotherapy exposure. This strategy aligns with the paradigm of enhancing therapeutic durability through toxicity modulation rather than premature immunosuppressive agent escalation.
The observed survival benefit associated with Tα1 use in this study may be linked to several potential contributing factors. Firstly, the study demonstrated that a greater percentage of patients receiving long-term Tα1 was eligible for consolidative immunotherapy (93.6% in the long-term Tα1 group, compared to 75.2% and 77.1% in the short-term and non-Tα1 groups, respectively; P=0.03). This is primarily due to a reduced incidence of pneumonitis and disease progression following CCRT. This aligns with findings from a previous phase 2 study, where the addition of Tα1 significantly reduced the incidence of G2–3 radiation-induced pneumonitis (9). Since consolidative immunotherapy is associated with improved PFS compared to observation, the use of Tα1 in our cohort correlated with a higher proportion of patients maintaining eligibility for immunotherapy. Secondly, long-term use of Tα1 was shown to promote the recovery of lymphopenia (the incidence of G1+ lymphopenia at 6 months post-CCRT was 55.8% in the non-Tα1 group, compared with 30.9% in short-term Tα1, and 22.5% in long-term Tα1 groups, P=0.01). Lymphopenia is a known negative prognostic factor for patients undergoing CCRT and consolidative immunotherapy, as it weakens the immune system and compromises treatment outcomes (11). Restoring lymphocyte levels is crucial for bolstering immune function, improving treatment response, and enhancing patient outcomes. The dosage and duration of Tα1 administration in clinical studies varied, with longer treatment periods showing more significant benefits. A large real-world study involving 5,746 NSCLC patients who underwent R0 resection demonstrated that patients treated with Tα1 for over 24 months had the most significant OS and disease-free survival benefits (22). The survival improvement was proportional to the length of Tα1 treatment, indicating that extended use is associated with better outcomes. In the context of current study, the findings also support the long-term administration of Tα1, associated with improving survival outcomes, a reduced incidence of grade 2+ pneumonitis, and better lymphocyte recovery compared to short-term use. However, the precise optimal dosage and duration remain unclear and warrant further investigation in future studies.
Previous studies suggest that Tα1 is associated with a reduction in treatment-related lung injury by regulating inflammatory factors and lymphocytes. Rong’s animal experimental research showed that compared with radiation alone group mice, Tα1 plus radiation group had significantly reduced pulmonary fibrosis scores, and Tα1 could alleviate radiation-induced acute and chronic lung injury (23), which is consistent with our clinical radiation pneumonia data. Several reports demonstrated that Tα1 can reduce the occurrence of postoperative nosocomial pneumonia and severe pneumonia, improving host ability to combat primary infection and reduce secondary infections (24,25). On the one hand, Tα1 can inhibit the production of inflammatory factors (TNF-α, IL-6, IL-8) and promote the production of anti-inflammatory cytokine IL-10 (26). On the other hand, Tα1 promotes lung disease patients to increase CD4+ T, decrease CD8+ T lymphocyte count, improve immune function, lung function and arterial blood gas (27). These findings are consistent with our study, in which the long-term Tα1 group showed statistically significant increase in ALC (P=0.01) and decrease in IL-6 (P=0.03) at 6 months after CCRT.
Tα1 can stimulate the expression of major histocompatibility complex (MHC) class I molecules on tumor cells, thereby increasing their visibility to T lymphocytes (28). Combining Tα1 with the tumor homing peptide iRGD leads to enhanced T-cell activation and CD86 expression in both lung cancer and melanoma (14). Tα1 specifically targets NSCLC cells with high PD-L1 expression, thereby inhibiting their migration and proliferation, and potentially working synergistically with anti-PD-L1 antibodies to bolster the immune system responses against the tumor (29). A favorable combination of Tα1 with an anti-PD-1 antibody has been proposed in experimental settings, where low doses of Tα1, although ineffective on their own, enhance the efficacy of anti-PD-1 antibodies in a lung metastasis melanoma model (30). Taken together, this experimental evidence supports the notion that Tα1 represents a promising molecule for modulating the tumor and its microenvironment, thereby creating optimal conditions for the activity of ICIs.
Limitations
This study has several limitations inherent to its retrospective design. First, although patients were enrolled from a prospective phase II study, the use of Tα1 was neither standardized nor mandatory, resulting in imbalanced group sizes. Second, patients with long-term Tα1 use may have been more health-conscious, adherent to treatment, or supported by greater financial or familial resources, potentially introducing selection bias. Third, while preclinical data suggest synergistic effects between Tα1 and CCRT or immunotherapy, the mechanisms underlying this synergy require further investigation. Prospective studies are needed to validate Tα1’s role in patients receiving CCRT and immunotherapy.
Conclusions
Integrating Tα1 into CCRT and consolidative immunotherapy could have a synergistic effect in patients with LA-NSCLC. This combination may enhance survival outcomes and reduce treatment-related toxicity. Further prospective studies are warranted to validate the findings.
Acknowledgments
None.
Footnote
Reporting Checklist: The authors have completed the STROBE reporting checklist. Available at https://tlcr.amegroups.com/article/view/10.21037/tlcr-2025-190/rc
Data Sharing Statement: Available at https://tlcr.amegroups.com/article/view/10.21037/tlcr-2025-190/dss
Peer Review File: Available at https://tlcr.amegroups.com/article/view/10.21037/tlcr-2025-190/prf
Funding: None.
Conflicts of Interest: All authors have completed the ICMJE uniform disclosure form (available at https://tlcr.amegroups.com/article/view/10.21037/tlcr-2025-190/coif). The authors have no conflicts of interest to declare.
Ethical Statement:
Open Access Statement: This is an Open Access article distributed in accordance with the Creative Commons Attribution-NonCommercial-NoDerivs 4.0 International License (CC BY-NC-ND 4.0), which permits the non-commercial replication and distribution of the article with the strict proviso that no changes or edits are made and the original work is properly cited (including links to both the formal publication through the relevant DOI and the license). See: https://creativecommons.org/licenses/by-nc-nd/4.0/.
References
- Leiter A, Veluswamy RR, Wisnivesky JP. The global burden of lung cancer: current status and future trends. Nat Rev Clin Oncol 2023;20:624-39. [Crossref] [PubMed]
- Antonia SJ, Villegas A, Daniel D, et al. Durvalumab after Chemoradiotherapy in Stage III Non-Small-Cell Lung Cancer. N Engl J Med 2017;377:1919-29. [Crossref] [PubMed]
- Sugimoto T, Fujimoto D, Sato Y, et al. Prospective multicenter cohort study of durvalumab for patients with unresectable stage III non-small cell lung cancer and grade 1 radiation pneumonitis. Lung Cancer 2022;171:3-8. [Crossref] [PubMed]
- Grossman SA, Ellsworth S, Campian J, et al. Survival in Patients With Severe Lymphopenia Following Treatment With Radiation and Chemotherapy for Newly Diagnosed Solid Tumors. J Natl Compr Canc Netw 2015;13:1225-31. [Crossref] [PubMed]
- Chen D, Verma V, Patel RR, et al. Absolute Lymphocyte Count Predicts Abscopal Responses and Outcomes in Patients Receiving Combined Immunotherapy and Radiation Therapy: Analysis of 3 Phase 1/2 Trials. Int J Radiat Oncol Biol Phys 2020;108:196-203. [Crossref] [PubMed]
- Jing W, Xu T, Wu L, et al. Severe Radiation-Induced Lymphopenia Attenuates the Benefit of Durvalumab After Concurrent Chemoradiotherapy for NSCLC. JTO Clin Res Rep 2022;3:100391. [Crossref] [PubMed]
- Bonaventura P, Shekarian T, Alcazer V, et al. Cold Tumors: A Therapeutic Challenge for Immunotherapy. Front Immunol 2019;10:168. [Crossref] [PubMed]
- Gao W, Wang X, Zhou Y, et al. Autophagy, ferroptosis, pyroptosis, and necroptosis in tumor immunotherapy. Signal Transduct Target Ther 2022;7:196. [Crossref] [PubMed]
- King R, Tuthill C. Immune Modulation with Thymosin Alpha 1 Treatment. Vitam Horm 2016;102:151-78. [Crossref] [PubMed]
- Wei Y, Zhang Y, Li P, et al. Thymosin α-1 in cancer therapy: Immunoregulation and potential applications. Int Immunopharmacol 2023;117:109744. [Crossref] [PubMed]
- Zeng FL, Xiao Z, Wang CQ, et al. Clinical efficacy and safety of synthetic thymic peptides with chemotherapy for non-small cell lung cancer in China: A systematic review and meta-analysis of 27 randomized controlled trials following the PRISMA guidelines. Int Immunopharmacol 2019;75:105747. [Crossref] [PubMed]
- Liu Y, Lu J. Mechanism and clinical application of thymosin in the treatment of lung cancer. Front Immunol 2023;14:1237978. [Crossref] [PubMed]
- Liu F, Qiu B, Xi Y, et al. Efficacy of Thymosin α1 in Management of Radiation Pneumonitis in Patients With Locally Advanced Non-Small Cell Lung Cancer Treated With Concurrent Chemoradiotherapy: A Phase 2 Clinical Trial (GASTO-1043). Int J Radiat Oncol Biol Phys 2022;114:433-43. [Crossref] [PubMed]
- Wang F, Li B, Fu P, et al. Immunomodulatory and enhanced antitumor activity of a modified thymosin α1 in melanoma and lung cancer. Int J Pharm 2018;547:611-20. [Crossref] [PubMed]
- Zhou R, Qiu B, Xiong M, et al. Hypofractionated Radiotherapy followed by Hypofractionated Boost with weekly concurrent chemotherapy for Unresectable Stage III Non-Small Cell Lung Cancer: Results of A Prospective Phase II Study (GASTO-1049). Int J Radiat Oncol Biol Phys 2023;117:387-99. [Crossref] [PubMed]
- Girard N, Bar J, Christoph D, et al. Real-world 5-year survival outcomes with durvalumab (D) after chemoradiotherapy (CRT) in unresectable, stage III NSCLC (urNSCLC): Final data extraction from PACIFIC-R. J Thorac Oncol 2025;20:S127-8.
- Jang JY, Song SY, Shin YS, et al. Contribution of Enhanced Locoregional Control to Improved Overall Survival with Consolidative Durvalumab after Concurrent Chemoradiotherapy in Locally Advanced Non-Small Cell Lung Cancer: Insights from Real-World Data. Cancer Res Treat 2024;56:785-94. [Crossref] [PubMed]
- McAleese J, Tee J, Whiteside C. Adjuvant immunotherapy after concurrent chemoradiation for locally advanced NSCLC: audit from Northern Ireland. In: Poster abstracts of the 21st Annual British Thoracic Oncology Group Conference 2023. 2023:S28. doi:
10.1016/S0169-5002(23)00491-9 . - Boys E, Gao B, Hui R, et al. Use of durvalumab in stage III non-small-cell lung cancer based on eligibility for the PACIFIC study. Thorac Cancer 2023;14:563-72. [Crossref] [PubMed]
- Bradley JD, Nishio M, Okamoto I, et al. PACIFIC-2: Phase 3 study of concurrent durvalumab and platinum-based chemoradiotherapy in patients with unresectable, stage III NSCLC. J Clin Oncol 2019;37:TPS8573.
- De Ruysscher D, Ramalingam S, Urbanic J, et al. CheckMate 73L: A Phase 3 Study Comparing Nivolumab Plus Concurrent Chemoradiotherapy Followed by Nivolumab With or Without Ipilimumab Versus Concurrent Chemoradiotherapy Followed by Durvalumab for Previously Untreated, Locally Advanced Stage III Non-Small-Cell Lung Cancer. Clin Lung Cancer 2022;23:e264-8. [Crossref] [PubMed]
- Guo CL, Mei JD, Jia YL, et al. Impact of thymosin α1 as an immunomodulatory therapy on long-term survival of non-small cell lung cancer patients after R0 resection: a propensity score-matched analysis. Chin Med J (Engl) 2021;134:2700-9. [Crossref] [PubMed]
- Yu R, Sun Y, Cai Q, et al. Effects of thymosin alpha-1 on radiation-induced pneumonitis. Zhongguo Fei Ai Za Zhi. 2011;14:187-93. [Crossref] [PubMed]
- Shrestha R, You C. Study of Thymosin alpha 1 and its effect in postoperative ICH patients AANS International Travel Scholarship. J Neurosurg 2018;128:4.
- Morton B, Pennington SH, Gordon SB. Immunomodulatory adjuvant therapy in severe community-acquired pneumonia. Expert Rev Respir Med 2014;8:587-96. [Crossref] [PubMed]
- Ricci D, Etna MP, Severa M, et al. Novel evidence of Thymosin α1 immunomodulatory properties in SARS-CoV-2 infection: Effect on innate inflammatory response in a peripheral blood mononuclear cell-based in vitro model. Int Immunopharmacol 2023;117:109996. [Crossref] [PubMed]
- Cao A, Feng F, Zhou X. Thymosin Alpha 1 Plus Routine Treatment for the Acute Exacerbation of Chronic Obstructive Pulmonary Disease: A Systematic Review and Meta-Analysis. J Coll Physicians Surg Pak 2024;34:1497-507. [Crossref] [PubMed]
- Giuliani C, Napolitano G, Mastino A, et al. Thymosin-alpha1 regulates MHC class I expression in FRTL-5 cells at transcriptional level. Eur J Immunol 2000;30:778-86. [Crossref] [PubMed]
- Bo C, Wu Q, Zhao H, et al. Thymosin α1 suppresses migration and invasion of PD-L1 high-expressing non-small-cell lung cancer cells via inhibition of STAT3-MMP2 signaling. Onco Targets Ther 2018;11:7255-70. [Crossref] [PubMed]
- King RS, Tuthill C. Evaluation of thymosin α 1 in nonclinical models of the immune-suppressing indications melanoma and sepsis. Expert Opin Biol Ther 2015;15:S41-9. [Crossref] [PubMed]

