Monocyte-Platelet-Hemoglobin-Hematocrit score and the role of hematological parameters in predicting treatment response to immune checkpoint inhibitors and survival outcomes in non-small cell lung cancer patients—a retrospective study
Highlight box
Key findings
• Low hemoglobin and high red cell distribution width levels are associated with poor treatment response and worse survival outcomes.
• The Monocyte-Platelet-Hemoglobin-Hematocrit (MPHH) score, integrating hematological and immune-inflammatory markers, provides a more comprehensive prognostic tool.
• Patients with lower MPHH values show improved response to immune checkpoint inhibitors (ICIs) and prolonged survival.
What is known and what is new?
• Despite the advancements in ICI treatment, a subset of patients with non-small cell lung cancer (NSCLC) demonstrates a limited response to immunotherapy. Complete blood count parameters and hematological scores have been identified as predictors of response to ICIs in NSCLC.
• This study highlights the MPHH score as a novel prognostic biomarker that integrates immune and hematological components, offering a refined approach for predicting ICI response and survival in NSCLC.
What is the implication, and what should change now?
• The multidimensional approach to MPHH has the potential to yield positive outcomes in clinical practice. This approach facilitates patient stratification, thereby enabling the personalization of therapeutic strategies with ICIs.
• However, further validation is necessary to firmly establish MPHH as a standard biomarker in oncology.
Introduction
Lung cancer has the highest incidence rate worldwide, with approximately 2.4 million new cases diagnosed annually. It is the primary cause of cancer-related mortality (1,2). Of these cases, 85% are classified as non-small cell lung cancer (NSCLC)(2-4). Immunotherapy, particularly immune checkpoint inhibitors (ICIs), has demonstrated significant advancements in the treatment of this pathology (5). These advances have been made possible by monoclonal antibodies capable of modulating the homeostasis of co-stimulatory and co-inhibitory signals, which are essential for maintaining immune tolerance (6).
Despite the success achieved with the use of ICIs, a considerable proportion of patients still exhibit suboptimal responses, while others experience significant immunotoxicities (7). These challenges illustrate the urgent need for robust biomarkers that can more accurately predict treatment response, enabling a more personalized and safer therapeutic approach. Programmed death ligand-1 (PD-L1) expression in tumor cells represents a significant predictive marker of response to ICIs (8). Nevertheless, PD-L1 expression alone is an inadequate predictor of immunotherapy efficacy (9,10). Consequently, additional markers have been investigated with the objective of more accurately identifying patients who are to better identifying patients who are most likely to benefit from immunotherapy. These include tumor mutational burden (11), gene expression profile (12), lymphocyte infiltrates (13), and blood-based parameters (14,15).
Among these potential biomarkers, components of the complete blood count (CBC) have gained increasing attention due to their availability, low cost, and routine use in clinical practice. Studies have demonstrated that hematological parameters, including the neutrophil-to-lymphocyte ratio (NLR) and hemoglobin levels, are correlated with response to ICIs and overall survival (OS) in patients with NSCLC (16). For instance, an elevated baseline NLR has been linked to poorer outcomes (17), while a lower platelet-to-lymphocyte ratio (PLR) has been correlated with better disease control rate (18). Despite these findings, the dynamic behavior of these parameters during treatment and their potential as early predictors of clinical outcomes remains poorly understood.
This study assesses the predictive capacity of hematological parameters at three time points: diagnosis, before the start of immunotherapy (baseline), and post-cycle 3 (PC3) of ICI. Composite scores were developed to integrate multiple hematological parameters, aiming to improve the reliability and accuracy of these markers, thereby facilitating more precise therapeutic targeting and potentially enhancing clinical outcomes for this patient population. We present this article in accordance with the TRIPOD reporting checklist (available at https://tlcr.amegroups.com/article/view/10.21037/tlcr-2025-179/rc).
Methods
Study design and participants
The study was conducted in accordance with the Declaration of Helsinki and its subsequent amendments. The study was conducted according to the guidelines of the National Health Council’s Resolution 466/2012 and approved by the Institutional Ethics Committee of Barretos Cancer Hospital (approval No. 1772/2019). Patient consent was waived due to the retrospective aspect of the study, the minimal risk to the participants, and considering that its development does not result in an impact on clinical management or the need for genetic counseling. All research activities were conducted in accordance with Brazilian legislation, including the General Data Protection Act [Lei Geral de Proteção de Dados (LGPD)].
CBC results from medical records were collected from 141 patients with advanced NSCLC who received ICI treatment [anti-programmed death-1 (PD-1) or anti-PD-L1], either as monotherapy or in combination, at Barretos Cancer Hospital between March 2018 and January 2024. Eligible patients were ≥18 years old, had a confirmed pathological diagnosis of NSCLC, and had available staging information indicating advanced disease (stage III or IV). Patients were excluded based on the following criteria: (I) inability to complete at least three cycles of ICI; (II) early-stage disease (stage I or II); (III) lack of available CBC results or clinicopathological data-except for PD-L1 analyses, where unavailable data were recorded as “unavailable”; and (IV) absence of imaging evaluation for treatment response assessment. All patients who met the predefined inclusion and exclusion criteria were enrolled in the study. The median follow-up period was 22 months [interquartile range (IQR): 15–36 months]. A schematic diagram of the study population is presented in Figure 1A.
Data collection and response assessment
The data were obtained from the electronic medical records and included the following variables: age, sex, Eastern Cooperative Oncology Group (ECOG) status, smoking status, CBC values, tumor histology, PD-L1 expression levels, the specific ICI used, and the evaluation of response to immunotherapy. Both CBC tests and computed tomography (CT) scans used to evaluate treatment response are part of the hospital’s routine clinical practice, and all results were retrieved directly from patient records.
The CBC results for each patient were assessed at three distinct time points: (I) at pathological diagnosis (using the test closest to the biopsy), (II) at treatment baseline (using the test closest to the initiation of ICI), and (III) PC3 (using the test closest to the fourth cycle of ICI) (Figure 1B). Values were collected for erythrocytes (millions/mm3); hemoglobin (g/dL); hematocrit (%); mean corpuscular volume (MCV) (fL); mean corpuscular hemoglobin (MCH) (pg); mean corpuscular hemoglobin concentration (MCHC) (g/dL); red cell distribution width (RDW) (%); leukocytes (/mm3); neutrophils (/mm3); eosinophils (/mm3); basophils (/mm3); lymphocytes (/mm3); monocytes (/mm3); and platelets (/mm3).
Various scores were developed by combining parameters from CBC, as follows: MPHH = [(monocyte × platelet)/(hemoglobin × hematocrit)]; Score 1 = (RDW × erythrocyte)/(hemoglobin); Score 2 = (MCV × hemoglobin); Score 3 = (MCHC × hemoglobin); and Score 4 = (hemoglobin × erythrocyte).
Response to ICI was assessed according to RECIST guidelines. Subsequently, patients exhibiting a partial or complete response (CR) or stable disease (SD) for a minimum of six months were compared with patients demonstrating PD. These patients were then divided into two categories: immunotherapy responders and non-responders, respectively.
OS was calculated from the date of pathological diagnosis to the date of death. Progression-free survival (PFS) was measured from the start of immunotherapy to the date of PD or the last follow-up for patients who do not experience progression during the follow-up period.
Statistical analysis
The cellular findings were correlated with clinical and pathological data of the patients using SPSS and R Studio software. Association between categorical variables was assessed using either a Chi-square or Fisher’s exact test. Differences in continuous variables between two groups were evaluated using either the Student’s t-test or an appropriate non-parametric test. OS and PFS rates were estimated using the Kaplan-Meier method, and survival curves were compared using the log-rank test. Multivariate analyses were performed using the Cox regression model, including variables found to be significant in univariate analyses or considered necessary for adjustment. Statistical significance was defined as a P value of ≤0.05 for all analyses.
Results
Patient characteristics
From March 2018 to January 2024, a total of 141 patients with NSCLC received ICI treatment. Following the application of the inclusion and exclusion criteria, 105 patients were considered eligible for further analysis (Figure 1A). The median age was 65 years (range: 37–82 years), with 61 (58.1%) male patients. The most prevalent histology in the overall cohort was adenocarcinoma (57.1%), followed by squamous cell carcinoma (SCC) (39.0%). Approximately 88.6% of patients had some level of tobacco exposure. Of these, 57.1% were former smokers, while 31.4% were current smokers. Most patients (94.3%) presented with ECOG performance status 0 or 1, and the majority were at advanced stages IVA (33.3%) or IVB (27.6%). Positive PD-L1 expression was observed in 62.9% of the total cohort. A total of 75.2% of patients were treated with anti-PD-1 (pembrolizumab or nivolumab), while 24.8% received anti-PD-L1 (durvalumab or atezolizumab) in different lines of treatment. Finally, the pathological response could be classified as PD =29.5%, SD =25.7%, partial response (PR =40.0%), or CR =4.8%.
When comparing responders and non-responders, both tumor histology and PD-L1 expression were significantly associated with treatment response (P=0.03 for each). Adenocarcinoma was more common among responders (63.5%), while SCC predominated in non-responders (48.4%). Similarly, positive PD-L1 expression was more frequent in responders (70.3%) than in non-responders (45.2%) (Table 1).
Table 1
| Characteristics | Non-responder (n=31) | Responder (n=74) | P† |
|---|---|---|---|
| Age, years | 65 [37–81] | 66 [38–82] | |
| Sex | >0.99 | ||
| Male | 18 (58.1) | 43 (58.1) | |
| Female | 13 (41.9) | 31 (41.9) | |
| Tumor histology | 0.03* | ||
| Adenocarcinoma | 13 (41.9) | 47 (63.5) | |
| SCC | 15 (48.4) | 26 (35.1) | |
| SOE | 3 (9.7) | 1 (1.4) | |
| Smoking status | 0.43 | ||
| Former | 15 (48.4) | 45 (60.8) | |
| Current | 11 (35.5) | 22 (29.7) | |
| Never | 5 (16.1) | 7 (9.5) | |
| ECOG | 0.12 | ||
| 0 | 0 (0.0) | 8 (10.8) | |
| 1 | 30 (96.8) | 61 (82.4) | |
| 2 | 1 (3.2) | 5 (6.8) | |
| Stage of disease | 0.56 | ||
| IIIA | 6 (19.4) | 10 (13.5) | |
| IIIB | 5 (16.1) | 13 (17.6) | |
| IIIC | 3 (9.7) | 4 (5.4) | |
| IVA | 7 (22.6) | 28 (37.8) | |
| IVB | 10 (32.2) | 19 (25.7) | |
| PD-L1 expression | 0.03* | ||
| High expression (>49%) | 7 (22.6) | 28 (37.8) | |
| Low expression (1–49%) | 7 (22.6) | 24 (32.5) | |
| Negative (<1%) | 17 (54.8) | 18 (24.3) | |
| Unavailable | 0 (0.0) | 4 (5.4) | |
| ICI treatment | 0.56 | ||
| Anti-PD-1 | 25 (80.6) | 54 (73.0) | |
| Anti-PD-L1 | 6 (19.4) | 20 (27.0) | |
| Response | – | ||
| PD | 31 (100.0) | 0 (0.0) | |
| SD | 0 (0.0) | 27 (36.5) | |
| PR | 0 (0.0) | 42 (56.7) | |
| CR | 0 (0.0) | 5 (6.8) |
Data are presented as number (%) or median [range]. †, Pearson’s Chi-squared test; Fisher’s exact test; *, P<0.05. CR, complete response; ECOG, Eastern Cooperative Oncologic Group; ICI, immune checkpoint inhibitor; NSCLC, non-small cell lung cancer; PD, progressive disease; PD-1, programmed death-1; PD-L1, programmed death ligand-1; PR, partial response; SCC, squamous cell carcinoma; SD, stable disease; SOE, no specific histology.
Blood-based biomarkers and treatment response
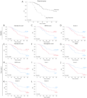
The CBC values and the developed scores were evaluated for their capacity to predict treatment response to ICIs at three distinct time points: at diagnosis, baseline, and PC3. The findings revealed that responder patients exhibited elevated baseline hemoglobin levels (P=0.04, Figure 2A), and along with elevated MCHC at PC3 (P=0.03, Figure 2B). The predictive capacity of the scores developed was also evaluated. Patients who did not respond exhibited higher MPHH values (P=0.04, Figure 2C). In contrast, patients who exhibited an unfavorable response to treatment demonstrated lower Score 2 and 3 values at PC3 (P=0.02, P=0.04, respectively; Figure 2D,2E), as well as for baseline counts for Scores 3 (P=0.02, Figure 2E). The complete dataset, including descriptive statistics for all primary characteristics and CBC-derived scores, is provided in Table S1 and Figure S1. Receiver operating characteristic (ROC) curve analyses were also performed for each parameter; however, none demonstrated acceptable discriminatory performance, as all area under the curve (AUC) values were below 0.7 (data not shown).
Blood-based biomarkers and OS
OS was estimated using the Kaplan-Meier method, with a median follow-up period of 22 months (IQR: 15–36 months). At 30 months, OS rates were 26.7% for non-responders and 65.6% among responders. Patients who responded to ICI treatment had significantly longer OS compared to non-responders (P<0.001, Figure 3A), highlighting the critical impact of treatment response on long-term outcomes. At baseline, specific blood count parameters were significantly associated with improved OS. Specifically, patients with hematocrit levels above 37.3% (P=0.004, Figure 3B), MPHH score ≤400.3 (P=0.007, Figure 3C), and Score 3 >384.0 (P=0.02, Figure 3D) demonstrated better survival outcomes.
The post-treatment evaluations indicated that the hematological alterations following three cycles of ICI therapy were also indicative of OS. Specifically, decreased hematocrit levels (≤35.7%, P=0.003, Figure 3E), elevated hemoglobin levels (>11.8 g/dL, P=0.002, Figure 3F), and reduced RDW (≤15.9%, P=0.002, Figure 3G) were associated with enhanced survival. Moreover, several scores derived after cycle 3 were correlated with better OS outcomes. A reduced MPHH score (≤305.9, P=0.005, Figure 3H) and a decreased Score 1 of 5.4 or less (P=0.04, Figure 3I) were indicative of longer survival. Conversely, elevated values of Score 2 (>1,075.2, P<0.001, Figure 3J), Score 3 (>382.8, P=0.001, Figure 3K), and Score 4 (>45.6, P=0.03, Figure 3L) were associated with enhanced OS. These findings reiterate the significance of baseline and dynamic blood count parameters in patients undergoing ICI therapy.
Blood-based biomarkers and PFS
The analysis of PFS was conducted using the Kaplan-Meier method. Patients who exhibited a response to ICI therapy demonstrated a statistically significant increase in PFS when compared to non-responders (P<0.001, Figure 4A). At baseline, patients with a decreased MPHH score of 400.3 or less (P=0.01, Figure 4B), and an increased Score 3 above 384.0 (P=0.05, Figure 4C) demonstrated better survival rates. Furthermore, the post-treatment evaluations indicated that the hematological changes following three cycles of ICI therapy were also indicative of PFS. A reduced MPHH score (≤305.9, P<0.001, Figure 4D) and a decreased Score 1 of 5.4 or less (P=0.049, Figure 4E) were indicative of longer survival. Conversely, elevated values of Score 2 (>1,075.2, P=0.02, Figure 4F) were associated with enhanced PFS. These findings reiterate the significance of baseline and dynamic blood count parameters in patients undergoing ICI therapy.
Discussion
Our findings revealed notable differences in clinicopathological features between responders and non-responders. Histological subtype also differed significantly: most responders had adenocarcinoma, while SCC was more common among non-responders. As expected, PD-L1 expression was more frequently positive among responders, supporting its role as a predictive biomarker for ICI efficacy. However, 45.2% of non-responders also exhibited PD-L1 positivity, and 23% of responders lacked PD-L1 expression. These observations underscore the limited robustness of PD-L1 as a standalone biomarker and highlight the need for additional parameters to better predict treatment response (9,10).
The findings of this study reinforce the role of CBC parameters and derived scores as potential predictors of response to ICI therapy in patients with NSCLC. The intricate cellular and extracellular microenvironment plays a pivotal role in the initiation and maintenance of the malignant phenotype observed in tumor cells. Notably, hemoglobin emerged as a particularly significant factor due to its essential function in oxygen transport. Low hemoglobin levels not only impair oxygen transport but can also lead to hypoxia, a condition known to promote tumor progression by driving angiogenesis, fostering immune suppression, and enhancing tumor resistance to therapy (19-21).
Tumor hypoxic regions are highly heterogeneous and exhibit elevated levels of reactive oxygen species (ROS)(22-24). Elevated ROS levels have been associated with genomic instability and the accumulation of mutations (19,25). Moreover, in the long term, the oxidative environment can affect hematopoiesis, limiting the self-renewal and differentiation of hematopoietic stem cells (26,27) and impairing the differentiation of erythrocytes (28).
Inadequate erythrocyte differentiation can result in increased variability in red blood cell size. The combined impact of chronic inflammation and oxidative stress may further contribute to elevated RDW indices and alterations in intracellular hemoglobin levels (29). In our analysis, patients who exhibited an unresponsiveness to treatment with ICIs exhibited elevated RDW levels and lower hemoglobin concentrations. This hematologic profile suggests impaired erythropoiesis, potentially driven by chronic inflammation and hypoxia in the tumor microenvironment (30,31).
Furthermore, iron availability is a critical element in hemoglobin synthesis and, subsequently, in the oxygen-carrying capacity of erythrocytes (32). Within the tumor microenvironment, prolonged inflammation can lead to iron “sequestration” by macrophages in the spleen and liver, limiting systemic iron availability and impairing effective erythropoiesis (33,34). Beyond its role in red blood cell production, iron is also essential for proper immune function, contributing to both innate and adaptive immune responses (35). For instance, natural killer (NK) cells, key components of the innate immune system known for their capacity to induce cell death independently (36), are functionally suppressed in conditions of iron deficiency, with a concomitant reduction in interferon gamma (IFN-γ) production (37). In the context of adaptive immunity, iron plays a pivotal role in the proliferation and differentiation of T lymphocytes, and its depletion results in a diminished T-cell response (38).
The findings of this study illustrate the significance of diverse hematological variables, particularly those related to the red blood cell lineage, as potential predictive biomarkers of response to ICIs in patients with NSCLC. The implementation of scores developed with a particular emphasis on hemoglobin measurements represents a significant advancement in the identification of patients with more favorable or unfavorable prognosis (39). These scores were designed to integrate hemoglobin levels with additional markers linked to oxygen transport efficiency and erythropoietic integrity. Scores 1, 2, 3, and 4 reflect this design, encapsulating the body’s ability to sustain adequate hemoglobin levels and respond appropriately to the hypoxic stress of the tumor microenvironment, which is a critical factor in the growth and resistance of tumor cells (40). Our results indicate that these scores, by summarizing erythrocyte-related alterations, are capable of predicting both clinical response to ICIs and survival outcomes.
Among the scores developed, the MPHH stands out for also incorporating essential immunological components—monocytes and platelets. Together, these elements reflect the complex interplay between inflammation, hypoxia, and immunosuppression within the tumor microenvironment (41,42). This interaction between inflammatory markers and hematological parameters captured by the MPHH becomes even more relevant when considering the role of anemia—a common condition in cancer patients characterized by reduced levels of hemoglobin, hematocrit, or red blood cell counts (43).
Anemia in cancer is associated with poorer survival and diminished response to immunotherapy, acting not only as a marker of frailty but also as an active driver of immunosuppression. Advanced tumors can induce compensatory extramedullary erythropoiesis, resulting in the expansion of immature erythroid progenitors (CD71+TER119+), particularly in the spleen (44). These cells express PD-L1 and produce ROS, thereby suppressing CD8+ T cells and facilitating immune evasion (44,45). Furthermore, tumor-associated macrophages (M2 phenotype) retain intracellular iron by downregulating ferroportin and increasing ferritin synthesis (46). This process restricts iron availability to T and NK cells, whose effector functions critically depend on this nutrient (47). In addition, secreted ferritin serves as a negative regulator of immunity, further promoting immunosuppression and tumor progression (48).
Therefore, by integrating immunological and hematological data, the MPHH not only supplements the other scores but also provides a more comprehensive view of the patient’s clinical status. This multidimensional perspective may be particularly valuable in clinical practice, assisting in the stratification of patients and the personalization of therapeutic strategies with ICIs, thereby increasing the likelihood of treatment response in patients with NSCLC. Rather, they highlight the potential utility of such parameters as complementary tools in clinical decision-making, particularly in scenarios where therapeutic options are being considered or re-evaluated.
This study has certain limitations that must be recognized. First, the relatively modest sample size may have diminished the statistical power of the analyses. Moreover, the absence of an independent validation cohort limits the ability to confirm the robustness and generalizability of the findings. Future validation efforts should prioritize the inclusion of data from multiple treatment centers, both nationally and internationally, to improve the external validity and clinical applicability of the proposed predictive models. Furthermore, it is important to investigate whether specific anemia etiologies influence response to ICIs.
Conclusions
This investigation underscores the prognostic significance of longitudinal CBC-derived parameters, particularly the MPHH, within the context of immunotherapy for NSCLC. Beyond their utility in settings with limited resources, these markers may serve as a foundation for more refined predictive models that integrate immune, inflammatory, and clinical variables to optimize treatment strategies.
Acknowledgments
We would like to thank Barretos Cancer Hospital for providing access to clinical data, and we are especially grateful to the patients whose information made this study possible.
Footnote
Reporting Checklist: The authors have completed the TRIPOD reporting checklist. Available at https://tlcr.amegroups.com/article/view/10.21037/tlcr-2025-179/rc
Data Sharing Statement: Available at https://tlcr.amegroups.com/article/view/10.21037/tlcr-2025-179/dss
Peer Review File: Available at https://tlcr.amegroups.com/article/view/10.21037/tlcr-2025-179/prf
Funding: This work was supported by
Conflicts of Interest: All authors have completed the ICMJE uniform disclosure form (available at https://tlcr.amegroups.com/article/view/10.21037/tlcr-2025-179/coif). A.L.P. was contracted in 2024 as a technical partner by Novartis Biociências S.A. Brazil. This relationship is unrelated to the present study. The other authors have no conflicts of interest to declare.
Ethical Statement: The authors are accountable for all aspects of the work in ensuring that questions related to the accuracy or integrity of any part of the work are appropriately investigated and resolved. The study was conducted in accordance with the Declaration of Helsinki and its subsequent amendments. The study was conducted according to the guidelines of the National Health Council’s Resolution 466/2012 and approved by the Institutional Ethics Committee of Barretos Cancer Hospital (approval No. 1772/2019). Patient consent was waived due to the retrospective aspect of the study, the minimal risk to the participants, and considering that its development does not result in an impact on clinical management or the need for genetic counseling.
Open Access Statement: This is an Open Access article distributed in accordance with the Creative Commons Attribution-NonCommercial-NoDerivs 4.0 International License (CC BY-NC-ND 4.0), which permits the non-commercial replication and distribution of the article with the strict proviso that no changes or edits are made and the original work is properly cited (including links to both the formal publication through the relevant DOI and the license). See: https://creativecommons.org/licenses/by-nc-nd/4.0/.
References
- Nguyen CTT, Van TNK, Huong PT. Predictability of Neutrophile to Lymphocyte Ratio and Platelet to Lymphocyte Ratio on the Effectiveness of Immune Checkpoint Inhibitors in Non-small Cell Lung Cancer patients: A Meta-Analysis. Cancer Control 2024;31:10732748241285474. [Crossref] [PubMed]
- Sung H, Ferlay J, Siegel RL, et al. Global Cancer Statistics 2020: GLOBOCAN Estimates of Incidence and Mortality Worldwide for 36 Cancers in 185 Countries. CA Cancer J Clin 2021;71:209-49. [Crossref] [PubMed]
- Kommalapati A, Tella SH, Appiah AK, et al. Association Between Treatment Facility Volume, Therapy Types, and Overall Survival in Patients With Stage IIIA Non-Small Cell Lung Cancer. J Natl Compr Canc Netw 2019;17:229-36. [Crossref] [PubMed]
- Li F, He Z, Zhang X, et al. USP10 promotes cell proliferation, migration, and invasion in NSCLC through deubiquitination and stabilization of EIF4G1. Sci Rep 2024;14:23685. [Crossref] [PubMed]
- Pathak GP, Shah R, Castonguay M, et al. Temporal Effect on PD-L1 Detection and Novel Insights Into Its Clinical Implications in Non-Small Cell Lung Cancer. Cancer Med 2024;13:e70262. [Crossref] [PubMed]
- Ling DC, Bakkenist CJ, Ferris RL, et al. Role of Immunotherapy in Head and Neck Cancer. Semin Radiat Oncol 2018;28:12-6. [Crossref] [PubMed]
- Bodor JN, Boumber Y, Borghaei H. Biomarkers for immune checkpoint inhibition in non-small cell lung cancer (NSCLC). Cancer 2020;126:260-70. [Crossref] [PubMed]
- Lamberti G, Spurr LF, Li Y, et al. Clinicopathological and genomic correlates of programmed cell death ligand 1 (PD-L1) expression in nonsquamous non-small-cell lung cancer. Ann Oncol 2020;31:807-14. [Crossref] [PubMed]
- Alessi JV, Ricciuti B, Jiménez-Aguilar E, et al. Outcomes to first-line pembrolizumab in patients with PD-L1-high (≥50%) non-small cell lung cancer and a poor performance status. J Immunother Cancer 2020;8:e001007. [Crossref] [PubMed]
- Reck M, Rodríguez-Abreu D, Robinson AG, et al. Pembrolizumab versus Chemotherapy for PD-L1-Positive Non-Small-Cell Lung Cancer. N Engl J Med 2016;375:1823-33. [Crossref] [PubMed]
- Willis C, Fiander M, Tran D, et al. Tumor mutational burden in lung cancer: a systematic literature review. Oncotarget 2019;10:6604-22. [Crossref] [PubMed]
- Ayers M, Lunceford J, Nebozhyn M, et al. IFN-γ-related mRNA profile predicts clinical response to PD-1 blockade. J Clin Invest 2017;127:2930-40. [Crossref] [PubMed]
- Brambilla E, Le Teuff G, Marguet S, et al. Prognostic Effect of Tumor Lymphocytic Infiltration in Resectable Non-Small-Cell Lung Cancer. J Clin Oncol 2016;34:1223-30. [Crossref] [PubMed]
- Lim JU, Yeo CD, Kang HS, et al. Elevated pretreatment platelet-to-lymphocyte ratio is associated with poor survival in stage IV non-small cell lung cancer with malignant pleural effusion. Sci Rep 2019;9:4721. [Crossref] [PubMed]
- Lauko A, Thapa B, Sharma M, et al. Neutrophil to lymphocyte ratio influences impact of steroids on efficacy of immune checkpoint inhibitors in lung cancer brain metastases. Sci Rep 2021;11:7490. [Crossref] [PubMed]
- Ayers KL, Ma M, Debussche G, et al. A composite biomarker of neutrophil-lymphocyte ratio and hemoglobin level correlates with clinical response to PD-1 and PD-L1 inhibitors in advanced non-small cell lung cancers. BMC Cancer 2021;21:441. [Crossref] [PubMed]
- Park W, Lopes G. Perspectives: Neutrophil-to-lymphocyte Ratio as a Potential Biomarker in Immune Checkpoint Inhibitor for Non-Small-Cell Lung Cancer. Clin Lung Cancer 2019;20:143-7. [Crossref] [PubMed]
- Lei Y, Cao C, Tang R, et al. Peripheral blood inflammatory biomarkers neutrophil/ lymphocyte ratio, platelet/lymphocyte ratio and systemic immune-inflammation index/albumin ratio predict prognosis and efficacy in non-small cell lung cancer patients receiving immunotherapy and opioids. BMC Cancer 2025;25:664. [Crossref] [PubMed]
- Bristow RG, Hill RP. Hypoxia and metabolism. Hypoxia, DNA repair and genetic instability. Nat Rev Cancer 2008;8:180-92. [Crossref] [PubMed]
- Chen Z, Han F, Du Y, et al. Hypoxic microenvironment in cancer: molecular mechanisms and therapeutic interventions. Signal Transduct Target Ther 2023;8:70. [Crossref] [PubMed]
- Noman MZ, Hasmim M, Messai Y, et al. Hypoxia: a key player in antitumor immune response. A Review in the Theme: Cellular Responses to Hypoxia. Am J Physiol Cell Physiol 2015;309:C569-79. [Crossref] [PubMed]
- Cheung EC, Vousden KH. The role of ROS in tumour development and progression. Nat Rev Cancer 2022;22:280-97. [Crossref] [PubMed]
- Chio IIC, Tuveson DA. ROS in Cancer: The Burning Question. Trends Mol Med 2017;23:411-29. [Crossref] [PubMed]
- Guzy RD, Hoyos B, Robin E, et al. Mitochondrial complex III is required for hypoxia-induced ROS production and cellular oxygen sensing. Cell Metab 2005;1:401-8. [Crossref] [PubMed]
- Jackson AL, Loeb LA. The contribution of endogenous sources of DNA damage to the multiple mutations in cancer. Mutat Res 2001;477:7-21. [Crossref] [PubMed]
- Jang YY, Sharkis SJ. A low level of reactive oxygen species selects for primitive hematopoietic stem cells that may reside in the low-oxygenic niche. Blood 2007;110:3056-63. [Crossref] [PubMed]
- Sardina JL, López-Ruano G, Sánchez-Sánchez B, et al. Reactive oxygen species: are they important for haematopoiesis? Crit Rev Oncol Hematol 2012;81:257-74. [Crossref] [PubMed]
- Chénais B, Andriollo M, Guiraud P, et al. Oxidative stress involvement in chemically induced differentiation of K562 cells. Free Radic Biol Med 2000;28:18-27. [Crossref] [PubMed]
- Salvagno GL, Sanchis-Gomar F, Picanza A, et al. Red blood cell distribution width: A simple parameter with multiple clinical applications. Crit Rev Clin Lab Sci 2015;52:86-105. [Crossref] [PubMed]
- NaveenKumar SK. Hemin-induced platelet activation and ferroptosis is mediated through ROS-driven proteasomal activity and inflammasome activation: Protection by Melatonin. Biochim Biophys Acta Mol Basis Dis 2019;1865:2303-16. [Crossref] [PubMed]
- Wang PF, Song SY, Guo H, et al. Prognostic role of pretreatment red blood cell distribution width in patients with cancer: A meta-analysis of 49 studies. J Cancer 2019;10:4305-17. [Crossref] [PubMed]
- Cassat JE, Skaar EP. Iron in infection and immunity. Cell Host Microbe 2013;13:509-19. [Crossref] [PubMed]
- Nairz M, Weiss G. Iron in infection and immunity. Mol Aspects Med 2020;75:100864. [Crossref] [PubMed]
- Youssef LA, Rebbaa A, Pampou S, et al. Increased erythrophagocytosis induces ferroptosis in red pulp macrophages in a mouse model of transfusion. Blood 2018;131:2581-93. [Crossref] [PubMed]
- Ganz T, Nemeth E. Iron homeostasis in host defence and inflammation. Nat Rev Immunol 2015;15:500-10. [Crossref] [PubMed]
- Herberman RB, Holden HT, Ting CC, et al. Cell-mediated immunity to leukemia virus- and tumor-associated antigens in mice. Cancer Res 1976;36:615-21.
- Donnelly RP, Loftus RM, Keating SE, et al. mTORC1-dependent metabolic reprogramming is a prerequisite for NK cell effector function. J Immunol 2014;193:4477-84. [Crossref] [PubMed]
- Macedo MF, de Sousa M, Ned RM, et al. Transferrin is required for early T-cell differentiation. Immunology 2004;112:543-9. [Crossref] [PubMed]
- Chi G, Lee JJ, Montazerin SM, et al. Prognostic value of hemoglobin-to-red cell distribution width ratio in cancer: a systematic review and meta-analysis. Biomark Med 2022;16:473-82. [Crossref] [PubMed]
- Chen X, Zhou H, Lv J. The Importance of Hypoxia-Related to Hemoglobin Concentration in Breast Cancer. Cell Biochem Biophys 2024;82:1893-906. [Crossref] [PubMed]
- Farag CM, Antar R, Akosman S, et al. What is hemoglobin, albumin, lymphocyte, platelet (HALP) score? A comprehensive literature review of HALP’s prognostic ability in different cancer types. Oncotarget 2023;14:153-72. [Crossref] [PubMed]
- Li Y, Wang H, Zhao Z, et al. Effects of the interactions between platelets with other cells in tumor growth and progression. Front Immunol 2023;14:1165989. [Crossref] [PubMed]
- Sakthivel H, Park SM, Kwon S, et al. Machine learning of blood haemoglobin and haematocrit levels via smartphone conjunctiva photography in Kenyan pregnant women: a clinical study protocol. BMJ Open 2025;15:e097342. [Crossref] [PubMed]
- Zhao L, He R, Long H, et al. Late-stage tumors induce anemia and immunosuppressive extramedullary erythroid progenitor cells. Nat Med 2018;24:1536-44. [Crossref] [PubMed]
- Sano Y, Yoshida T, Choo MK, et al. Multiorgan Signaling Mobilizes Tumor-Associated Erythroid Cells Expressing Immune Checkpoint Molecules. Mol Cancer Res 2021;19:507-15. [Crossref] [PubMed]
- Recalcati S, Locati M, Gammella E, et al. Iron levels in polarized macrophages: regulation of immunity and autoimmunity. Autoimmun Rev 2012;11:883-9. [Crossref] [PubMed]
- Cronin SJF, Woolf CJ, Weiss G, et al. The Role of Iron Regulation in Immunometabolism and Immune-Related Disease. Front Mol Biosci 2019;6:116. [Crossref] [PubMed]
- Ni S, Yuan Y, Kuang Y, et al. Iron Metabolism and Immune Regulation. Front Immunol 2022;13:816282. [Crossref] [PubMed]

